1. ์ ๋ก        	
                ํ๋ ์ฌํ์์ ์ ๊ธฐ์ฅ์น ๋ฐ ์ ์ด ๊ธฐ์ ์ ๋ฐ์ ์ ๋ฐ๋ผ, ๋์ ํ ํฌ ๋ฐ๋์ ์ฐ์ํ ํจ์จ์ ๊ฐ์ถ ๋งค์
ํ ์๊ตฌ์์ ๋๊ธฐ ์ ๋๊ธฐ(Interior Permanent
                  Magnet Synchronous Motor, IPMSM)๋ ์ฐ์
 ์ค๋น๋ถํฐ ๊ฐ์ ์ ํ์ ์ด๋ฅด๊ธฐ๊น์ง ๋ค์ํ ์์ฉ ๋ถ์ผ์์ ๋๋ฆฌ ์ฌ์ฉ๋๊ณ  ์๋ค[1]. ํนํ ๊ฐ์ ์ ํ ์ค ์ธํ๊ธฐ ๊ตฌ๋์ฉ ์ ๋๊ธฐ๋ ์๋์ง ํจ์จ ํฅ์์ ์ํด ์ง์  ๊ตฌ๋(Direct Drive) ์์คํ
์ด ์ ์ฉ๋๋ฉฐ, ์ด ์์คํ
์์๋ ์ ๋๊ธฐ์์
                  ๋ฐ์ํ ์ง๋์ด ๋ถํ์ ์ง์  ์ ๋ฌ๋๋ฏ๋ก ํ ํฌ ๋ฆฌํ ์ ๊ฐ์ด ๋งค์ฐ ์ค์ํ ์ค๊ณ ์์๋ก ์์ฉํ๋ค[2].
               
               ๊ธฐ์กด ์ ๋๊ธฐ ์ค๊ณ์์๋ ํ ํฌ ๋ฆฌํ ์ ๊ฐ์ ์ํด ์ด์์ ์ธ ์กฐ๊ฑด์ ๊ธฐ์ค์ผ๋ก ๊ตฌ์กฐ์  ์ค๊ณ ๋ณ์์ ์ต์ ํ๊ฐ ์ํ ๋์ด์๋ค[3,4]. ๊ทธ๋ฌ๋ ์ค์  ์ ์ ๊ณผ์ ์์ ์ ์ ๊ณต์ฐจ ๋ฐ ์กฐ๋ฆฝ ๊ณต์ฐจ์ ๊ฐ์ ๋ค์ํ ๋ถํ์ค์ฑ์ผ๋ก ์ธํด ์ด์์ ์ธ ์กฐ๊ฑด์์ ์ค๊ณ๋ฅผ ์ํํ ์ ๋๊ธฐ์ ์ฑ๋ฅ๊ณผ ์ค์  ์ ์๋
                  ์ ๋๊ธฐ์ ์ฑ๋ฅ ์ฌ์ด์ ์ฐจ์ด๊ฐ ๋ฐ์ํ  ์ ์๋ค[5].
               
               ์ด๋ฌํ ๋ถํ์ค์ฑ์ผ๋ก ์ธํ ์ฑ๋ฅ ์ ํ๋ฅผ ๋ฐฉ์งํ๊ธฐ ์ํด์ ๊ณต์ฐจ๋ฅผ ๊ณ ๋ คํ ๊ฐ๊ฑด์ค๊ณ๊ฐ ์๊ตฌ๋๋ค. ๊ฐ๊ฑด์ค๊ณ๋ ์ด์์ ์ธ ์ค๊ณ์ ์ฃผ๋ณ์ ๊ณต์ฐจ ์ฐํฌ ๋ฒ์ ๋ด์์
                  ๊ตฌ์กฐ์  ์ค๊ณ ๋ณ์๋ฅผ ๋ณํ์์ผ ์ด์ ๋ฐ๋ฅธ ์ ์๊ณ ์ฑ๋ฅ ๋ณํ๋ฅผ ์ค๊ณ ๋จ๊ณ์์ ๊ณ ๋ คํ๋ค. ํ ๊ฐ์ ์ค๊ณ์์ ๋ํ ๊ฐ๊ฑด์ฑ ํ๊ฐ๋ฅผ ์ํํ๊ธฐ ์ํด์ ์๋ง์ ์ ํ
                  ์์ ํด์(Finite Element Analysis, FEA)์ด ํ์ํ๋ฉฐ, ์ด์ ๋ฐ๋ผ ๋ง๋ํ ํด์ ์๊ฐ์ด ์์๋๋ ๋ฌธ์ ๊ฐ ๋ฐ์ํ๋ค[6].
               
               ์ด ๋ฌธ์ ๋ฅผ ํด๊ฒฐํ๊ธฐ ์ํด ์ต๊ทผ์๋ ๋๋ฆฌ๋ชจ๋ธ(Surrogate Model)์ ํ์ฉํ์ฌ ๊ฐ๊ฑด์ฑ ํ๊ฐ์ ํด์ ์๊ฐ ๋ถ๋ด์ ์ค์ด๋ ์ฐ๊ตฌ๊ฐ ์งํ๋๊ณ  ์๋ค[7,8]. ํ์ง๋ง ๋๋ฆฌ๋ชจ๋ธ์ ์์ธก ์ฑ๋ฅ์ด ๋จ์ด์ง๋ค๋ฉด, ๊ฐ๊ฑด์ฑ ํ๊ฐ์ ์ ๋ขฐ๋๊ฐ ๋จ์ด์ง๋ ๋ฌธ์ ๊ฐ ๋ฐ์ํ๋ค. ๋ฐ๋ผ์ ๋ณธ ๋
ผ๋ฌธ์์๋ ๊ฐ๊ฑด์ค๊ณ ์์ ๋๋ฆฌ๋ชจ๋ธ์ ์์ธก
                  ์ฑ๋ฅ ํฅ์์ ์ํด์ ์ ์  ์๊ณ ๋ฆฌ์ฆ(Genetic algorithm, GA)๊ณผ ๊ธฐ๊ณํ์ต ๊ธฐ๋ฐ์ ๋๋ฆฌ๋ชจ๋ธ์ ํ์ฉํ๋ ๊ธฐ๋ฒ์ ์ ์ํ๋ค.
               
               ๋ณธ ๋
ผ๋ฌธ์์ ์ ์ํ ๊ธฐ๋ฒ์ ํตํด์ ์ธํ๊ธฐ์ฉ ์ง์  ๊ตฌ๋ ์์คํ
์ ์ฌ์ฉ๋๋ IPMSM์ ํ ํฌ ๋ฆฌํ์ ์ ๊ฐ๊ณผ ์ ์ ๊ณต์ฐจ์ ๋ฐ๋ฅธ ํ๊ท  ํ ํฌ ๋ฐ ํ ํฌ ๋ฆฌํ์
                  ๋ณ๋์ฑ ์ ๊ฐ์ ๋์์ ๋ฌ์ฑํ๋ ๊ฒ์ ๋ชฉํ๋ก ํ๋ค.
               
             
            
                  2. ์ ์ํ๋ ๊ฐ๊ฑด์ค๊ณ ๊ธฐ๋ฒ	
               ๋ณธ ๋
ผ๋ฌธ์์๋ ์ ์ ๊ณต์ฐจ๋ก ์ธํ ์ ์๊ณ ์ฑ๋ฅ์ ๋ณ๋์ ํจ๊ณผ์ ์ผ๋ก ๊ณ ๋ คํ๊ธฐ ์ํด, ๊ธฐ๊ณํ์ต ๊ธฐ๋ฐ์ ๋๋ฆฌ๋ชจ๋ธ๊ณผ GA๋ฅผ ๊ฒฐํฉํ ๊ฐ๊ฑด์ค๊ณ ๊ธฐ๋ฒ์ ์ ์ํ๋ค.
                  ์ ์๋ ๊ธฐ๋ฒ์ ์ด๊ธฐ ์ํ๋ง, ๋ฌธ์ ์์ญ ์ถ์๋ฅผ ํฌํจํ Step 1์ ๋๋ฆฌ๋ชจ๋ธ ์
๋ฐ์ดํธ ๋ฐ ์ต์ ํด ํ์์ ํฌํจํ Step 2๋ก ๊ตฌ์ฑ๋๋ฉฐ, ์ ์ฒด์ ์ธ ์ํ
                  ์ ์ฐจ๋ ๊ทธ๋ฆผ 1์ ๋์๋ ์์๋์ ๊ฐ๋ค.
               
               
                     
                     
๊ทธ๋ฆผ 1. ์ ์ํ๋ ๊ธฐ๋ฒ์ ์์๋
                  
                  
                     
Fig. 1. Flow chart of proposed methodology
                   
               
                     2.1 ์ด๊ธฐ ์ํ๋ง ๋ฐ ๋๋ฆฌ๋ชจ๋ธ ์์ฑ
                  ๋จผ์  ์ต์ ํ๋ฅผ ์ํํ  ๊ตฌ์กฐ์  ์ค๊ณ ๋ณ์์ ์ข
๋ฅ์ ๊ฐ ๋ณ์์ ๋ฌธ์ ์์ญ์ ์ ์ํ๋ค. ๋ณธ ๋
ผ๋ฌธ์์๋ ์ด๊ธฐ ํด์ ๊ท ์ผ์ฑ๊ณผ ๋ฌด์์์ฑ์ ํ๋ณดํด ๋๋ฆฌ๋ชจ๋ธ์ ์์ธก
                     ์ฑ๋ฅ ํฅ์์ ์ํด, Latin Hypercube Sampling(LHS)์ ํ์ฉํ์๋ค[9].
                  
                  ๊ฐ ์ด๊ธฐ ํด์ ๋ํด์ FEA๋ฅผ ์ํํ์ฌ ํ๊ท  ํ ํฌ, ํ ํฌ ๋ฆฌํ ๋ฑ ์ฃผ์ ์ ์๊ณ ์ฑ๋ฅ์ ํ๋ณดํ๊ณ , ํด๋น ๋ฐ์ดํฐ์ ๊ธฐ๊ณํ์ต์ ํตํด ๋๋ฆฌ๋ชจ๋ธ์ ๊ตฌ์ถํ๋ค.
                     ์ด๋, ๋๋ฆฌ๋ชจ๋ธ์ ๊ธฐ๊ณํ์ต ๊ธฐ๋ฒ ์ค Random Forest(RF)๋ฅผ ํ์ฉํ๋ค.
                  
                
               
                     2.2 ๋ฌธ์ ์์ญ ์ถ์
                  ๊ฐ๊ฑด์ฑ ํ๊ฐ๋ฅผ ์ํด์๋ ์ด์์ ์ธ ์ง์ ์์ ๊ณต์ฐจ ์ฐํฌ์ ๋ฐ๋ฅธ ์ฑ๋ฅ ๋ณํ์ ๋ถ์์ด ํ์ํ๋ค. ๊ทธ๋ฌ๋ ๊ณต์ฐจ๋ฅผ ๊ณ ๋ คํ ๊ตฌ์กฐ์  ์ค๊ณ ๋ณ์ ๋ณํ๊ฐ ๊ทธ๋ฆผ 2(a)์ ๊ฐ์ด ๋ฌธ์ ์์ญ ๊ฒฝ๊ณ ๋ฐ์ผ๋ก ํ์ฅ๋๋ ๊ฒฝ์ฐ, ํด๋น ๋ถ๋ถ์์๋ ์ด๊ธฐ ํด๋ฅผ ๋์ถํ์ง ์์๊ธฐ ๋๋ฌธ์, ํด๋น ๋ถ๋ถ์์์ ๋๋ฆฌ๋ชจ๋ธ์ ์์ธก ์ฑ๋ฅ์ด ๊ธ๊ฒฉํ ์ ํ๋ 
                     ์ ์๋ค.
                  
                  ์ด๋ฌํ ๋ฌธ์ ๋ฅผ ๋ฐฉ์งํ๊ธฐ ์ํด, ๋ณธ ๋
ผ๋ฌธ์์๋ ๊ณต์ฐจ ์ฐํฌ๋๋ฅผ ์ฌ์ ์ ๊ณ ๋ คํ์ฌ ๊ทธ๋ฆผ 2(b)์ ๊ฐ์ด ๋ฌธ์ ์์ญ์ ์ถ์ํ๋ค. ์ถ์๋ ๋ฌธ์ ์์ญ์์, ๊ฒฝ๊ณ ๋ถ๋ถ์์ ๊ณต์ฐจ ์ฐํฌ๋ฅผ ๊ณ ๋ คํด๋ ๊ธฐ์กด ๋ฌธ์ ์์ญ์ ๊ฒฝ๊ณ๋ฅผ ๋์ด์์ง ์๊ฒ ๋๋ค. ๋ํ, ํด๋น ๋ถ๋ถ์์๋
                     ๊ทธ๋ฆผ 3๊ณผ ๊ฐ์ด ํด๋ค์ด ์กด์ฌํ๊ธฐ ๋๋ฌธ์ ๋๋ฆฌ๋ชจ๋ธ์ ์์ธก ์ฑ๋ฅ์ ์ ๋ขฐํ  ์ ์๋ค. ๋ฐ๋ผ์ ๋๋ฆฌ๋ชจ๋ธ ๊ธฐ๋ฐ ๊ฐ๊ฑด์ฑ ํ๊ฐ ๊ฒฐ๊ณผ์ ์ ๋ขฐ์ฑ์ ํ๋ณดํ  ์ ์๋ค.
                  
                  
                        
                        
๊ทธ๋ฆผ 2. ๋ฌธ์ ์์ญ์ ๋ฐ๋ฅธ ๊ฐ๊ฑด์ฑ ํ๊ฐ; (a) ๊ธฐ์กด์ ๋ฌธ์ ์์ญ, (b) ์ถ์๋ ๋ฌธ์ ์์ญ
                     
                     
                        
Fig. 2. Robustness Evaluation According to the Problem Domain; (a) Original problem
                           domain, (b) Reduced problem domain
                        
                      
                  
                        
                        
๊ทธ๋ฆผ 3. ๋ฌธ์ ์์ญ ๋น๊ต
                     
                     
                        
Fig. 3. Comparison of problem domain
                      
                
               
                     2.3 ๋๋ฆฌ๋ชจ๋ธ ์
๋ฐ์ดํธ ๋ฐ ์ต์ ํด ํ์
                  ๊ทธ๋ฆผ 1์ Step 1์์ ๋์ถ๋ ์ด๊ธฐ ํด ์ค ์ถ์๋ ๋ฌธ์ ์์ญ์ ํฌํจ๋๋ ํด๋ค์ 1์ธ๋ ๋ถ๋ชจ ํด๋ก ์ ์ ํ ๋ค, GA์ ์ ํ, ๊ต์ฐจ, ๋ณ์ด, ๋์น ๊ณผ์ ์ ๋ฐ๋ณต์ ์ผ๋ก
                     ์ํํ์ฌ ์ต์ ํด๋ฅผ ํ์ํ๋ค. ๊ฐ ๋ฐ๋ณต์์ ์์ฑ๋ ์์ ํด๋ FEA๋ฅผ ํตํด์ ์ ์๊ณ ์ฑ๋ฅ์ ๋์ถํ๋ฉฐ, ํด๋น ๋ฐ์ดํฐ๋ ๊ธฐ์กด์ ๋ฐ์ดํฐ์ ํจ๊ป ๋์ ๋๊ฒ ๋๋ค.
                     ์ด๋, GA์ ํน์ฑ์ ๋ฐ๋ณต์ด ์งํ๋ ์๋ก ๋ฐ์ดํฐ๊ฐ ์ต์ ํด ์ฃผ๋ณ์ผ๋ก ์ ์ฐจ ์ง์ค๋๊ธฐ ๋๋ฌธ์, ๋ฐ๋ณต๋ง๋ค ๋์ ๋ ๋ฐ์ดํฐ๋ฅผ ํ์ฉํ์ฌ ๋๋ฆฌ๋ชจ๋ธ ์
๋ฐ์ดํธ๋ฅผ ์ํํ๋ค.
                     ํด๋น ๋๋ฆฌ๋ชจ๋ธ์ ์ต์ ํด ์ฃผ๋ณ์ ์์ญ์ ์์ธก ์ฑ๋ฅ์ด ํฅ์๋๊ฒ ๋๋ค. ๋ฐ๋ผ์ ๋ฐ๋ณต ํ์๊ฐ ์ฆ๊ฐํ ์๋ก ์ต์ ํด ์ฃผ๋ณ์ ์์ธก ์ ํ๋๋ ์ฐ์ํด์ง๋ฉฐ, ์ด๋ ๊ฐ๊ฑด์ฑ
                     ํ๊ฐ์ ์ ๋ขฐ๋๋ฅผ ๋์ผ ์ ์๋ค.
                  
                  ์์ ๊ฐ์ ๊ณผ์ ์ ๊ฑฐ์ณ์ ์
๋ฐ์ดํธ๋ ๋๋ฆฌ๋ชจ๋ธ์ ํตํด์ ์ต์ ํด๋ฅผ ํ์ํ  ๋, ๋ถํ์ํ ๋ฐ๋ณต์ ๋ฐฉ์งํ๊ธฐ ์ํด์ ๋ถ๋ชจ ํด๋ค์ ์ ํฉ๋์ ํ์คํธ์ฐจ๊ฐ 0.1
                     ์ดํ๊ฐ ๋  ๋๊น์ง ๋ฐ๋ณต์ ์ํํ๋๋ก ์ค์ ํ์๋ค.
                  
                
             
            
                  3. ์ ์ํ๋ ๊ฐ๊ฑด์ค๊ณ ๊ธฐ๋ฒ์ ํ๋น์ฑ ๊ฒ์ฆ	
               
                     3.1 ์ํํจ์
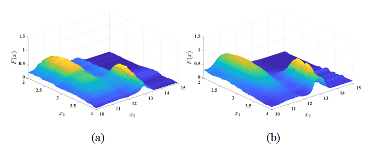
                  ์ ์๋ ๊ฐ๊ฑด์ค๊ณ ๊ธฐ๋ฒ์ ํ๋น์ฑ์ ์ ๋์ ์ผ๋ก ๊ฒ์ฆํ๊ธฐ ์ํด์, ๋ ๊ฐ์ ๊ฐ์ฐ์์ ํญ์ผ๋ก ๊ตฌ์ฑ๋ ์ํํจ์๋ฅผ ์ค์ ํ์๋ค. ํด๋น ์ํํจ์๋ ๋ค์๊ณผ ๊ฐ์ด ์ ์๋๋ค.
                  
                  ์ด ํจ์๋ ๊ฐ๊ฐ (X1, X2)๊ฐ (3.5, 13.5) ๋ฐ (2.5, 11.5) ์ง์ ์์ ๊ฐ๊ฐ ํผํฌ๊ฐ 1.2์ 0.8์ ๊ฐ์ง๋ฉฐ, ๊ธฐ์ธ๊ธฐ๋ ๊ฐ๊ฐ 5์
                     1๋ก ์ค์ ๋์ด ์๋ค. ์ด๋, ๊ทธ๋ฆผ 4(a)์ 3์ฐจ์ ๊ทธ๋ํ๋ก ์๊ฐํ๋์ด ์๋ค.
                  
                  ์ ํต์ ์ธ ์ต์  ์ค๊ณ ๊ธฐ๋ฒ์ ๋จ์ํ ๋ชฉ์ ํจ์์ ํฌ๊ธฐ๋ฅผ ๊ทน๋ํํ๋ ์ง์ ์ ๋์ถํ๋ ๊ฒ์ด ๋ชฉํ์ด๊ธฐ ๋๋ฌธ์, ๊ทธ๋ฆผ 4์ ๋นจ๊ฐ์ ์ง์ ์ ์ต์ ํด๋ก ๋์ถํ๋ค. ๊ทธ๋ฌ๋ ๊ฐ๊ฑด์ค๊ณ ๊ธฐ๋ฒ์ ๋จ์ํ ์ฑ๋ฅ ์ต๋ํ๋ฟ๋ง ์๋๋ผ, ํด๋น ์ง์ ์์ ๊ณต์ฐจ๋ก ์ธํด ๊ตฌ์กฐ์  ์ค๊ณ ๋ณ์๊ฐ ๋ณ๋๋์์
                     ๋ ์ฑ๋ฅ์ด ์ผ๋ง๋ ์์ ์ ์ธ์ง๋ฅผ ํจ๊ป ๊ณ ๋ คํ๋ค. ๋ฐ๋ผ์ ๋ชฉ์ ํจ์์ ํฌ๊ธฐ๊ฐ ๋์ผ๋ฉด์๋ ๋ถ์ฐ์ด ๋ฎ์ ์ง์ ์ธ ํ๋์ ์ง์ ์ ์ต์ ํด๋ก ๋์ถํ๋ค. ๋ฐ๋ผ์ ์ ์ํ
                     ๊ธฐ๋ฒ์ด ํ๋์ ์ง์ ์ผ๋ก ์๋ ดํ๋์ง๋ฅผ ํ์ธํจ์ผ๋ก์จ ๊ธฐ๋ฒ์ ํ๋น์ฑ์ ๊ฒ์ฆํ์๋ค.
                  
                  
                        
                        
๊ทธ๋ฆผ 4. ์ํํจ์ ๊ธฐ๋ฐ ํ๋น์ฑ ๊ฒ์ฆ ๊ฒฐ๊ณผ; (a) ์ํํจ์ (b) ๊ฐ๊ฑด์ฑ ํ๊ฐ ๊ฒฐ๊ณผ
                     
                     
                        
Fig. 4. Feasibility Validation results based on the test function (a) Test function
                           (b) Result of robustness evaluation
                        
                      
                
               
                     3.2 ๊ฐ๊ฑด์ค๊ณ ๊ฒ์ฆ ์ ์ฐจ ๋ฐ ์กฐ๊ฑด
                  ์ํํจ์์์ ์ ์ํ ๊ธฐ๋ฒ์ ํ๋น์ฑ ๊ฒ์ฆ์ ์ํํ๊ธฐ ์ํด ๋ชจ๋  ๋ณ์์ ๋ํด ยฑ3%์ ๊ณต์ฐจ ๋ฒ์๋ฅผ ๋ถ์ฌํ์๋ค. ํด๋น ๊ณต์ฐจ ๋ฒ์์์ Full Factorial
                     Design(FFD) ๊ธฐ๋ฒ ๊ธฐ๋ฐ์ผ๋ก ๋ฐ์ดํฐ๋ฅผ ์ถ์ถํด ๊ฐ๊ฑด์ฑ ํ๊ฐ๋ฅผ ์ํํ์๋ค. ์ด๋, ๊ฐ ์ค๊ณ ๋ณ์์ ๋ํด์ 0.5% ๊ฐ๊ฒฉ์ผ๋ก ๋ฐ์ดํฐ๋ฅผ ์ถ์ถํ์๊ธฐ
                     ๋๋ฌธ์ ํ๊ฐ๋ฅผ ์ํด์ 169๊ฐ์ ๋ฐ์ดํฐ๋ฅผ ์ถ์ถํ์๋ค.
                  
                  ์ ์ํ ๊ธฐ๋ฒ์ ํตํด ๋์ถํ ์ต์ ํด๋ฅผ ๊ทธ๋ฆผ 4(a)์ ์ด๋ก์ ์ง์ ์ผ๋ก ์๊ฐํํ์์ผ๋ฉฐ, ํด๋น ๊ฒฐ๊ณผ๋ฅผ ํ 1์ ์ ๋ฆฌํ์๋ค. ์ ์ํ ๊ธฐ๋ฒ์ ๋๋ฆฌ๋ชจ๋ธ์ ํ์ฉํ๊ธฐ ๋๋ฌธ์ ์ด์์ ์ธ ์ง์ ๊ณผ ์ฝ๊ฐ์ ์ค์ฐจ๊ฐ ๋ฐ์ํ์ง๋ง, ์ ์ฌํ ์์น์ ์๋ ดํจ์ ํ์ธํ  ์ ์๋ค. ๋ํ,
                     ๋์ถ๋ ์ต์ ํด์ ์ ํต์ ์ธ ์ต์  ์ค๊ณ์ ์ต์ ํด์์ ๊ฐ๊ฑด์ฑ ํ๊ฐ๋ฅผ ์ํํ ๊ฒฐ๊ณผ ๊ทธ๋ฆผ 4(b)์ ๊ฐ์ด ๋์ถ๋์๋ค. ๋ฐ์ดํฐ์ ๋ถ์ฐ์ ํ์ธํ ๊ฒฐ๊ณผ, ๊ฐ๊ฑด ์ต์  ์ค๊ณ ๊ธฐ์ค์ ๊ณผ ๋์ผํ ๋ถ์ฐ์ด ๋์ถ๋์๊ธฐ ๋๋ฌธ์ ์ ์ํ ๊ธฐ๋ฒ์ ํ๋น์ฑ์ ํ๋ณดํ์๋ค.
                  
                  
                        
                        
ํ 1 ์ํ ํจ์๋ฅผ ์ด์ฉํ ๊ฐ๊ฑด ์ต์ ํ ๊ฒฐ๊ณผ
                     
                     
                        
Table 1 The result of robust optimization using TF
                     
                     
                           
                              
                                 | 
                                    
                                 
                                  Point 
                                 
                               | 
                              
                                    
                                 
                                  X=[X1, X2] 
                                 
                               | 
                              
                                    
                                 
                                  F(X) 
                                 
                               | 
                              
                                    
                                 
                                  ฯ 
                                 
                               | 
                           
                           
                                 | 
                                    
                                 
                                  Traditional 
                                 
                               | 
                              
                                    
                                 
                                  [3.5, 13.5] 
                                 
                               | 
                              
                                    
                                 
                                  1.2 
                                 
                               | 
                              
                                    
                                 
                                  0.0083 
                                 
                               | 
                           
                           
                                 | 
                                    
                                 
                                  Robust 
                                 
                               | 
                              
                                    
                                 
                                  [2.5, 11.5] 
                                 
                               | 
                              
                                    
                                 
                                  0.8 
                                 
                               | 
                              
                                    
                                 
                                  0.0011 
                                 
                               | 
                           
                           
                                 | 
                                    
                                 
                                  Optimization 
                                 
                               | 
                              
                                    
                                 
                                  [2.48, 11.54] 
                                 
                               | 
                              
                                    
                                 
                                  0.7982 
                                 
                               | 
                              
                                    
                                 
                                  0.0011 
                                 
                               | 
                           
                        
                     
                   
                
               
                     3.3 ๋๋ฆฌ๋ชจ๋ธ ์์ธก ์ฑ๋ฅ ๊ฒ์ฆ
                  ์ ์ํ ๊ธฐ๋ฒ์ด ๋๋ฆฌ๋ชจ๋ธ์ ์์ฐจ์ ์ผ๋ก ์
๋ฐ์ดํธํ๋ ๊ณผ์ ์์ ์์ธก ์ฑ๋ฅ์ด ํฅ์๋๋์ง๋ฅผ ๊ฒ์ฆํ์๋ค. ์ด๋ฅผ ์ํด, ์ ์ํ ๊ธฐ๋ฒ์ ์๊ณ ๋ฆฌ์ฆ์ ๋ฐ๋ผ Step
                     1์์ ๋์ถ๋ ์ด๊ธฐ ๋ถ๋ชจ ํด ๊ธฐ๋ฐ์ผ๋ก ํ์ต๋ ๋๋ฆฌ๋ชจ๋ธ๊ณผ, Step 2 ์ข
๋ฃ ์์ ๊น์ง ๋์  ๋ฐ์ดํฐ๋ฅผ ํ์ฉํ ๋๋ฆฌ๋ชจ๋ธ์ ์ฑ๋ฅ์ ๋น๊ตํ์๋ค.
                  
                  ๊ฐ ๋จ๊ณ์์ ๊ตฌ์ถ๋ ๋๋ฆฌ๋ชจ๋ธ์ ๊ทธ๋ฆผ 5(a)์ 5(b)์ ์๊ฐ์ ์ผ๋ก ์ ์๋์์ผ๋ฉฐ, ๋๋ฆฌ๋ชจ๋ธ์ ์์ธก ์ฑ๋ฅ์ ๊ฒฐ์ ๊ณ์(Coefficient of determination, R2)๋ฅผ ์งํ๋ก ์ฌ์ฉํ์ฌ ํ 2์ ๊ฐ์ด ๋์ถํ์๋ค. R2๋ ๋ค์๊ณผ ๊ฐ์ ์์์ผ๋ก ์ ์๋๋ค.
                  
                  
                  ์ฌ๊ธฐ์ $\hat{Y_{i}}$๋ ๋๋ฆฌ๋ชจ๋ธ์ ํตํด ๋์ถ๋ ์์ธก๊ฐ, $\overline{Y}$๋ ํ๊ท ๊ฐ, $Y_{i}$๋ ์ค์ ๊ฐ์ ์๋ฏธํ๋ค.
                  ํ 2์ ๊ฒฐ๊ณผ๋ฅผ ํตํด, Step 2๊น์ง ๋์ ๋ ๋ฐ์ดํฐ๋ฅผ ํ์ฉํ ์ต์ข
 ๋๋ฆฌ๋ชจ๋ธ์ด Step 1 ๋จ๊ณ ๋๋น ์ ์๋ฏธํ ์ฑ๋ฅ ํฅ์์ ๋ณด์ด๋ฉฐ, ๊ฒฐ์ ๊ณ์ ๊ธฐ์ค์ผ๋ก๋
                     1์ ๊ทผ์ ํ ๋์ ์์ธก ์ฑ๋ฅ์ ๋ณด์๋ค. ๋ํ, ๊ทธ๋ฆผ 5(b)์์๋ ๋ฐ์ดํฐ๊ฐ ๋ฐ๋ณต์ ์ผ๋ก ๊ฐ๊ฑด ์ต์ ์  ์ฃผ๋ณ์ ๋์ ๋๊ธฐ ๋๋ฌธ์, ํด๋น ์์ญ์ ๋๋ฆฌ๋ชจ๋ธ์ด ๋ธ์ด ์ค์  ๋ชจ๋ธ์ ๊ฒฝํฅ๊ณผ ๊ฑฐ์ ์ผ์นํ๋ ๊ฒ์ ์๊ฐ์ ์ผ๋ก ํ์ธํ 
                     ์ ์๋ค.
                  
                  ๋ฐ๋ผ์ ์ ์๋ ๊ฐ๊ฑด์ค๊ณ ๊ธฐ๋ฒ์ ์์ฐจ์  ๋ฐ์ดํฐ ๋์ ์ ํตํด ๋๋ฆฌ๋ชจ๋ธ์ ๋ณด์ ํ๊ณ , ์ค๊ณ ๊ณต๊ฐ์ ๋ฏผ๊ฐ ์์ญ์ ์ ๋ฐํ๊ฒ ํ์ตํ  ์ ์๋ ๊ตฌ์กฐ๋ฅผ ๊ฐ์ถ๊ณ  ์์์
                     ํ์ธํ์๋ค. ์ด๋ ์์ ์ค๋ช
ํ ์๊ณ ๋ฆฌ์ฆ์ ์ค๊ณ ์๋ฆฌ์ ์ผ์นํ๋ค.
                  
                  
                        
                        
ํ 2 ๊ฐ ๋๋ฆฌ๋ชจ๋ธ์ ์์ธก ์ฑ๋ฅ
                     
                     
                        
Table 2 The prediction performance of each surrogate model
                     
                     
                           
                              
                                 | 
                                    
                                 
                                  Value 
                                 
                               | 
                              
                                    
                                 
                                  After step 1 
                                 
                               | 
                              
                                    
                                 
                                  After step 2 
                                 
                               | 
                           
                           
                                 | 
                                    
                                 
                                  R2 
                                 
                               | 
                              
                                    
                                 
                                  0.8742 
                                 
                               | 
                              
                                    
                                 
                                  0.9938 
                                 
                               | 
                           
                        
                     
                   
                  
                        
                        
๊ทธ๋ฆผ 5. ๋ฐ์ดํฐ์ ๋ฐ๋ฅธ ๋๋ฆฌ๋ชจ๋ธ; (a) Step 1 ์ข
๋ฃ ํ (b) Step 2 ์ข
๋ฃ ํ
                     
                     
                        
Fig. 5. Meta model based on each data; (a) After step 1 (b) After step 2
                      
                
             
            
                  4. ์ธํ๊ธฐ ๊ตฌ๋์ฉ IPMSM์ ๊ฐ๊ฑด์ค๊ณ	
               ๋ณธ ๋
ผ๋ฌธ์์๋ ์ ์ํ ๊ธฐ๋ฒ์ด ์ ๋๊ธฐ ์ค๊ณ์ ํ์ฉ ๊ฐ๋ฅ์ฑ์ ๊ฒ์ฆํ๊ธฐ ์ํด, ์ธํ๊ธฐ ๊ตฌ๋์ฉ IPMSM์ ๋์์ผ๋ก ๊ฐ๊ฑด์ค๊ณ๋ฅผ ์ํํ์๋ค. ํด๋น IPMSM์
                  ์ง์  ๊ตฌ๋ ๋ฐฉ์์ ์ธํ๊ธฐ์ ์ฌ์ฉ๋๋ฉฐ, ๊ณ ํจ์จ ๋ฐ ์ ์์ ํน์ฑ์ด ์๊ตฌ๋๋ค. ์ด๊ธฐ ๋ชจ๋ธ์ ํ์๊ณผ ๊ตฌ์กฐ์  ์ค๊ณ ๋ณ์๋ ๊ทธ๋ฆผ 6์, ์ด๊ธฐ ๋ชจ๋ธ์ ์ฑ๋ฅ ๋ฐ ์๊ตฌ ์ฑ๋ฅ ์ฌ์์ ํ 3๋ถํฐ 5์ ๊ฐ๊ฐ ์ ๋ฆฌ๋์ด ์๋ค.
               
               
                     
                     
๊ทธ๋ฆผ 6. ์ด๊ธฐ ๋ชจ๋ธ ๋ฐ ์ค๊ณ ๋ณ์
                  
                  
                     
Fig. 6. Initial model and design parameter
                   
               
                     
                     
ํ 3 ์ด๊ธฐ ๋ชจ๋ธ ์ฑ๋ฅ
                  
                  
                     
Table 3 Performance of initial model
                  
                  
                        
                           
                              | 
                                 
                              
                               Parameter 
                              
                            | 
                           
                                 
                              
                               Value 
                              
                            | 
                        
                        
                              | 
                                 
                              
                               Average torque [Nm] 
                              
                            | 
                           
                                 
                              
                               20.94 
                              
                            | 
                        
                        
                              | 
                                 
                              
                               Torque ripple [%] 
                              
                            | 
                           
                                 
                              
                               13.31 
                              
                            | 
                        
                     
                  
                
               
                     
                     
ํ 4 ์๊ตฌ ์ฑ๋ฅ
                  
                  
                     
Table 4 Performance of requirements
                  
                  
                        
                           
                              | 
                                 
                              
                               Parameter 
                              
                            | 
                           
                                 
                              
                               Value 
                              
                            | 
                        
                        
                              | 
                                 
                              
                               Average torque [Nm] 
                              
                            | 
                           
                                 
                              
                               20 
                              
                            | 
                        
                        
                              | 
                                 
                              
                               Torque ripple [%] 
                              
                            | 
                           
                                 
                              
                               10 
                              
                            | 
                        
                        
                              | 
                                 
                              
                               Rated speed [RPM] 
                              
                            | 
                           
                                 
                              
                               45 
                              
                            | 
                        
                     
                  
                
               
                     
                     
ํ 5 ๋ชฉํ ๋ชจํฐ์ ์ฌ์
                  
                  
                     
Table 5 Specification of target motor
                  
                  
                        
                           
                              | 
                                 
                              
                               Parameter 
                              
                            | 
                           
                                 
                              
                               Value 
                              
                            | 
                        
                        
                              | 
                                 
                              
                               Pole / Slot 
                              
                            | 
                           
                                 
                              
                               8 / 12 
                              
                            | 
                        
                        
                              | 
                                 
                              
                               Stator inner / outer diameter [mm] 
                              
                            | 
                           
                                 
                              
                               161.6 / 250 
                              
                            | 
                        
                        
                              | 
                                 
                              
                               Rotor inner / outer diameter [mm] 
                              
                            | 
                           
                                 
                              
                               120 / 160 
                              
                            | 
                        
                        
                              | 
                                 
                              
                               Air gap [mm] 
                              
                            | 
                           
                                 
                              
                               0.8 
                              
                            | 
                        
                        
                              | 
                                 
                              
                               Stacking length [mm] 
                              
                            | 
                           
                                 
                              
                               24 
                              
                            | 
                        
                        
                              | 
                                 
                              
                               Core material 
                              
                            | 
                           
                                 
                              
                               50JN1300 
                              
                            | 
                        
                        
                              | 
                                 
                              
                               Permanent magnet material 
                              
                            | 
                           
                                 
                              
                               N42SH 
                              
                            | 
                        
                     
                  
                
               
                     4.1 ์ด๊ธฐ ๋ชจ๋ธ ์ฑ๋ฅ ๋ถ์ ๋ฐ ๋ฌธ์ ์์ญ ์ค์ 
                  ํ 3๊ณผ ํ 4๋ฅผ ๋น๊ตํ๋ฉด, ์ด๊ธฐ ๋ชจ๋ธ์ ํ๊ท  ํ ํฌ ์ฑ๋ฅ์ ์๊ตฌ ์ฌ์์ ์ด๊ณผํ 20.94Nm๋ฅผ ๋ฌ์ฑํ๊ณ  ์์ง๋ง, ํ ํฌ ๋ฆฌํ์ 13.31%๋ก ์๊ตฌ ์ฌ์์ ๋ง์กฑํ์ง
                     ๋ชปํ๊ณ  ์๋ค. ์ง์  ๊ตฌ๋ ์์คํ
 ํน์ฑ์, ์ด๋ ๊ธฐ๊ณ์  ์ง๋๊ณผ ์์์ ์ง์ ์ ์ธ ์ํฅ์ ๋ฏธ์น๊ธฐ ๋๋ฌธ์ ํ ํฌ ๋ฆฌํ ์ ๊ฐ์ด ํ์์ ์ด๋ค.
                  
                  
                  ๋ฐ๋ผ์, ํ๊ท  ํ ํฌ ์ฑ๋ฅ์ ์ ์งํ๋ฉด์ ํ ํฌ ๋ฆฌํ์ ์ ๊ฐํ๊ณ  ๋์์ ๊ฐ๊ฑด์ค๊ณ๋ฅผ ์ํํ๊ธฐ ์ํด์ ๊ฐ ์ฑ๋ฅ์ ๋ถ์ฐ์ ํฌํจํ ๊ฐ์ค๊ณ์ ๊ธฐ๋ฐ์ ์์ ์ด์ฉํ์๋ค.
                  ํด๋น ์์ ๋ค์๊ณผ ๊ฐ์ด ์ ์๋๋ค.
                  
                  
                  
                  ํด๋น ์์์ Taveโ, Tripโ, ฮดTaveโ, ฮดTaveโ, ๋ ๊ฐ๊ฐ ์ด๊ธฐ ๋ชจ๋ธ์ ํ๊ท  ํ ํฌ, ํ ํฌ ๋ฆฌํ, ํ๊ท  ํ ํฌ ๋ฐ์ดํฐ์ ๋ถ์ฐ, ํ ํฌ ๋ฆฌํ
                     ๋ฐ์ดํฐ์ ๋ถ์ฐ์ ์๋ฏธํ๋ฉฐ, Tave(i), Trip(i), ฮดTave(i), ฮดTave(i)๋ i๋ฒ์งธ ์ค๊ณ ๋ณ์ ์กฐํฉ์์์ ์ฑ๋ฅ์ ์๋ฏธํ๋ค.
                  
                  ์ด๋ ๊ฐ์ค๊ณ์ ์ ์ ๊ณผ ์ฃผ์ ์ค๊ณ ๋ณ์๋ง์ ์ ์ ํ์ฌ ํจ์จ์ ์ผ๋ก ๊ฐ๊ฑด์ค๊ณ๋ฅผ ์ํํ๊ธฐ ์ํด์ ๋ฏผ๊ฐ๋ ๋ถ์์ ์ํํ์๋ค. ๋ฏผ๊ฐ๋ ๋ถ์์ ์ํํ ์ค๊ณ ๋ณ์๋
                     ๊ทธ๋ฆผ 6์ ๋์๋ ๋ฐ์ ๊ฐ์ด ์ด 6๊ฐ๋ก ๊ตฌ์ฑ๋๋ค. ํ์ ์ ๊ทนํธ๋น์ ํด๋นํ๋ ๋ณ์ ap๋ ์์ ๋ฐฉ๋ฒฝ์ ๊ฐ๋๋ฅผ ์กฐ์ ํ๋ฉฐ, a1๊ณผ a2๋ ์๊ตฌ์์ ์ยทํ๋จ ๊ธฐ์ธ๊ธฐ๋ฅผ
                     ์กฐ์ ํ๋ฉฐ, a3๋ ์์ ํต๋ก ๊ธธ์ด๋ฅผ ์กฐ์ ํ๋ค. ๊ณ ์ ์์์ ch1๊ณผ ch2๋ ๊ฐ๊ฐ ์น ๋๋จ์์ ์ฑํผ ํ์์ ์กฐ์ ํ๋ค.
                  
                  ๋ฏผ๊ฐ๋ ๋ถ์์ ์ํํ๊ธฐ ์ํด, ๋ํ์ ์ธ ๋ฏผ๊ฐ๋ ๋ถ์ ๋ฐฉ์์ธ Taguchi method์ Signal to Noise Ratio(SNR)๋ฅผ ํ์ฉํ์๋ค[10]. ํด๋น ๋ฏผ๊ฐ๋ ๋ถ์์ Taguchi method ๊ธฐ๋ฐ ๋ฐ์ดํฐ๋ฅผ ์ถ์ถํ ํ SNR ์์์ ํตํด์ ๋ฏผ๊ฐ๋๋ฅผ ๋์ถํ๋ ๊ธฐ๋ฒ์ด๋ค.
                  
                  ์ด๋, ํ๊ท  ํ ํฌ์ ํ ํฌ ๋ฆฌํ์ ๋ฏผ๊ฐ๋๋ฅผ ํจ๊ป ๊ณ ๋ คํ๊ธฐ ์ํด์ ๊ฐ์ค๊ณ์ ๊ธฐ๋ฐ์ ์์ ์ฌ์ฉํ์์ผ๋ฉฐ ๋ ๊ฐ ์ฑ๋ฅ ๋ชจ๋ ์ค์ํ๊ธฐ ๋๋ฌธ์ ๊ฐ์ค๊ณ์๋ 0.5๋ก
                     ์ ์ ํ์๋ค. ํด๋น ์์ ๋ค์๊ณผ ๊ฐ์ด ์ ์๋๋ค.
                  
                  
                  ํด๋น ์์์ SenTave, SenTrip์ ํ๊ท  ํ ํฌ์ ํ ํฌ ๋ฆฌํ์ ๋ฏผ๊ฐ๋ ๋ถ์ ๊ฒฐ๊ณผ๋ฅผ ์๋ฏธํ๋ค. ํด๋น ๋ฏผ๊ฐ๋ ๋ถ์์ ํตํด์ ๋จผ์  ๊ณต์ฐจ๊ฐ -3%,
                     0%, +3%๋ก ๋ณํํ  ๋ ๊ฐ ๋ณ์๊ฐ ์ฑ๋ฅ์ ๋ฏธ์น๋ ์ํฅ์ ๊ทธ๋ฆผ 7์ ํตํด์ ํ์ธ ํ  ์ ์๋ค.
                  
                  
                        
                        
๊ทธ๋ฆผ 7. ๊ณต์ฐจ์ ๋ฐ๋ฅธ ๊ฒฝํฅ; (a) ํ๊ท  ํ ํฌ (b) ํ ํฌ ๋ฆฌํ
                     
                     
                        
Fig. 7. Tolerance dependent trend (a) Torque (b) Ripple
                      
                  ์ด๋, ๋ฏผ๊ฐ๋๊ฐ ๊ฐ์ฅ ํฐ ap๋ ํ ํฌ์ ๋ฆฌํ์ ๋ํด์ Trade-off ๊ด๊ณ๋ฅผ ์ง๋๊ธฐ ๋๋ฌธ์, ์ (3)์ ๊ฐ์ด ํ๊ท  ํ ํฌ์ ํ ํฌ ๋ฆฌํ์ ๋ํด์ ๊ฐ์ค๊ณ์๋ฅผ 0.3์ผ๋ก ์ฌ์ฉํ์๋ค. ๋ํ, ์ค์  ์ฑ๋ฅ์ ๊ฐ์ ์ด ์ค์ํ๊ธฐ ๋๋ฌธ์ ๋ถ์ฐ์ ๊ฐ์ค๊ณ์๋ 0.2๋ก ์ฌ์ฉํ์๋ค.
                  
                  ์ต์ข
์ ์ผ๋ก ๊ทธ๋ฆผ 8๊ณผ ๊ฐ์ด ๋ฏผ๊ฐ๋ ๋ถ์ ๊ฒฐ๊ณผ๋ฅผ ๋์ถํ์๋ค. ์ด๋ฅผ ํตํด์ ์ฑ๋ฅ์ ํฐ ์ํฅ์ ๋ฏธ์น๋ 4๊ฐ์ ๋ณ์์ธ ap, a3, ch1, ch2๋ฅผ ์ ์ ํ์์ผ๋ฉฐ, ์ค๊ณ ๊ฐ๋ฅ์ฑ์
                     ๊ณ ๋ คํ์ฌ ํ 6๊ณผ ๊ฐ์ด ๋ฌธ์ ์์ญ์ ์ ์ ํ์๋ค.
                  
                  
                        
                        
๊ทธ๋ฆผ 8. ๋ฏผ๊ฐ๋ ๋ถ์ ๊ฒฐ๊ณผ
                     
                     
                        
Fig. 8. Result of sensitivity
                      
                  
                        
                        
ํ 6 ์ค๊ณ ๋ณ์์ ๋ฌธ์ ์์ญ
                     
                     
                        
Table 6 Problem domain of each design parameter
                     
                     
                           
                              
                                 | 
                                    
                                 
                                  Parameter 
                                 
                               | 
                              
                                    
                                 
                                  Min 
                                 
                               | 
                              
                                    
                                 
                                  Max 
                                 
                               | 
                              
                                    
                                 
                                  Parameter 
                                 
                               | 
                              
                                    
                                 
                                  Min 
                                 
                               | 
                              
                                    
                                 
                                  Max 
                                 
                               | 
                           
                           
                                 | 
                                    
                                 
                                  ap 
                                 
                               | 
                              
                                    
                                 
                                  0.54 
                                 
                               | 
                              
                                    
                                 
                                  0.72 
                                 
                               | 
                              
                                    
                                 
                                  ch1 [mm]
                                  
                                 
                               | 
                              
                                    
                                 
                                  0.4 
                                 
                               | 
                              
                                    
                                 
                                  1.8 
                                 
                               | 
                           
                           
                                 | 
                                    
                                 
                                  al [mm]
                                  
                                 
                               | 
                              
                                    
                                 
                                  2 
                                 
                               | 
                              
                                    
                                 
                                  8 
                                 
                               | 
                              
                                    
                                 
                                  ch2 [mm]
                                  
                                 
                               | 
                              
                                    
                                 
                                  2 
                                 
                               | 
                              
                                    
                                 
                                  20 
                                 
                               | 
                           
                        
                     
                   
                
               
                     4.2 ๊ฐ๊ฑด์ค๊ณ ์ํ ๋ฐ ๊ฒฐ๊ณผ ๋ถ์
                  ๊ตฌ์กฐ์  ์ค๊ณ ๋ณ์์ ์ ์ ๊ณต์ฐจ๋ ยฑ3%๋ก ๊ฐ์ ํ์์ผ๋ฉฐ, ๊ณต์ฐจ์ ๋ฐ๋ฅธ ์ ์๊ณ ์ฑ๋ฅ์ ๋์ถํ๊ธฐ ์ํด์ FFD ๊ธฐ๋ฒ์ ์ด์ฉํ์๋ค. ๊ฐ ๋ณ์๋ฅผ 0.5% ๊ฐ๊ฒฉ์ผ๋ก
                     ๋ถํ ํ์ฌ ๋ฐ์ดํฐ๋ฅผ ์ถ์ถํ๊ธฐ ๋๋ฌธ์ ํ๋์ ์ค๊ณ์์ ๋ํด์ ์ด 28,561๊ฐ์ ์ํ๋ง์ ํตํด ๊ฐ๊ฑด์ฑ ํ๊ฐ๋ฅผ ์ํํ์๋ค. ๋ํ, ์ ์ํ ๊ธฐ๋ฒ์ ์ฌ์ฉํ
                     RF๋ฅผ ์์ฑํ๊ธฐ ์ํ Hyperparameter๋ ํ 7๊ณผ ๊ฐ์ด ์ค์ ํ์๋ค.
                  
                  
                        
                        
ํ 7 RF์ Hyperparameter
                     
                     
                        
Table 7 Hyperparameter of RF
                     
                     
                           
                              
                                 | 
                                    
                                 
                                  Parameter 
                                 
                               | 
                              
                                    
                                 
                                  Value 
                                 
                               | 
                              
                                    
                                 
                                  Mean 
                                 
                               | 
                           
                           
                                 | 
                                    
                                 
                                  N_estimators 
                                 
                               | 
                              
                                    
                                 
                                  10 
                                 
                               | 
                              
                                    
                                 
                                  Decision Tree ๊ฐ์ 
                                 
                               | 
                           
                           
                                 | 
                                    
                                 
                                  Max_splits 
                                 
                               | 
                              
                                    
                                 
                                  50 
                                 
                               | 
                              
                                    
                                 
                                  Tree์ ์ต๋ ๋ถํ  ํ์ 
                                 
                               | 
                           
                           
                                 | 
                                    
                                 
                                  Min_samples_parents 
                                 
                               | 
                              
                                    
                                 
                                  10 
                                 
                               | 
                              
                                    
                                 
                                  Parents node๊ฐ ํ์ํ ์ํ ๊ฐ์ 
                                 
                               | 
                           
                           
                                 | 
                                    
                                 
                                  Min_samples_leaf 
                                 
                               | 
                              
                                    
                                 
                                  1 
                                 
                               | 
                              
                                    
                                 
                                  Leaf node๊ฐ ํ์ํ ์ํ ๊ฐ์ 
                                 
                               | 
                           
                        
                     
                   
                  ๋ค์๊ณผ ๊ฐ์ด ๊ฐ๊ฑด์ค๊ณ๋ฅผ ์ํํ ๊ฒฐ๊ณผ, ํ 8๊ณผ ๊ฐ์ด ์ค๊ณ ๋ณ์๊ฐ ๋์ถ๋์์ผ๋ฉฐ, ํด๋น ์ต์  ๋ชจ๋ธ์ ์ฑ๋ฅ์ ์ด๊ธฐ ๋ชจ๋ธ๊ณผ ๋น๊ตํ์ ๋, ๊ทธ๋ฆผ 9์ ๊ฐ์ด ๋์ผํ ์ ๋ฅ ์กฐ๊ฑด์์ ํ๊ท  ํ ํฌ๋ 20.37 Nm๋ก 2.72% ์ ๊ฐ๋์์ผ๋, ํ ํฌ ๋ฆฌํ์ 7.63%๋ก 42.67% ์ ๊ฐ๋์๋ค. ๋ํ, ๊ทธ๋ฆผ 10์ ํตํด ๊ณ ์ ์ ์ํฌ์ ์น์์์ ์์ ํฌํ๋๊ฐ ์ํ๋จ์ ํ์ธํ์์ผ๋ฉฐ, ์ด๋ ํ ํฌ ๋ฆฌํ ๋ฐ ์ฒ ์ ์ ๊ฐ์ ์ ๋ฆฌํ๋ค[8].
                  
                  
                        
                        
ํ 8 ์ด๊ธฐ ๋ชจ๋ธ ๋ฐ ์ต์  ๋ชจ๋ธ์ ์ค๊ณ ๋ณ์ 
                     
                     
                        
Table 8 Design parameter for initial and optimal models
                     
                     
                           
                              
                                 | 
                                    
                                 
                                  Design parameter 
                                 
                               | 
                              
                                    
                                 
                                  Initial 
                                 
                               | 
                              
                                    
                                 
                                  Optimal 
                                 
                               | 
                           
                           
                                 | 
                                    
                                 
                                  ap 
                                 
                               | 
                              
                                    
                                 
                                  0.67 
                                 
                               | 
                              
                                    
                                 
                                  0.68 
                                 
                               | 
                           
                           
                                 | 
                                    
                                 
                                  al [mm]
                                  
                                 
                               | 
                              
                                    
                                 
                                  5.0 
                                 
                               | 
                              
                                    
                                 
                                  5.25 
                                 
                               | 
                           
                           
                                 | 
                                    
                                 
                                  ch1 [mm]
                                  
                                 
                               | 
                              
                                    
                                 
                                  1.0 
                                 
                               | 
                              
                                    
                                 
                                  1.61 
                                 
                               | 
                           
                           
                                 | 
                                    
                                 
                                  ch2 [mm]
                                  
                                 
                               | 
                              
                                    
                                 
                                  6.0 
                                 
                               | 
                              
                                    
                                 
                                  15.42 
                                 
                               | 
                           
                        
                     
                   
                  
                        
                        
๊ทธ๋ฆผ 9. ์ต์  ๋ชจ๋ธ์ ๋ถํ ํด์ ๊ฒฐ๊ณผ; (a) ์
๋ ฅ ์ ๋ฅ (b) ์ถ๋ ฅ ํ ํฌ
                     
                     
                        
Fig. 9. Load condition analysis result of the optimal model (a) Input current (b)
                           Output torque
                        
                      
                  
                        
                        
๊ทธ๋ฆผ 10. ์์๋ฐ๋ ๋ถํฌ; (a) ์ด๊ธฐ ๋ชจ๋ธ (b) ์ต์  ๋ชจ๋ธ
                     
                     
                        
Fig. 10. Magnetic flux (a) Initial model (b) Optimal model
                      
                  ๋ค์์ผ๋ก ๊ฐ๊ฑด์ฑ ํ๊ฐ ๊ฒฐ๊ณผ๋ฅผ ๋น๊ตํ ๊ฒฐ๊ณผ๋ ๊ทธ๋ฆผ 11์ ํตํด์ ํ์ธํ์๋ค. 28,561๊ฐ์ ๋ฐ์ดํฐ๋ฅผ ํตํด์ ๋ถ์ฐ์ ์ป์์ ๋ ํ๊ท  ํ ํฌ๋ ์ด๊ธฐ ๋ชจ๋ธ ๋๋น 63.33% ์ ๊ฐ ๋์์ผ๋ฉฐ, ํ ํฌ ๋ฆฌํ์ 83.0%
                     ์ ๊ฐ์ด ๋์๋ค. ๋ํ, ๊ณต์ฐจ์ ๋ฐ๋ฅธ ์ฑ๋ฅ ๋ณํ๋ฅผ ๋ถ์ํ ๊ฒฐ๊ณผ, ์ด๊ธฐ ๋ชจ๋ธ์ ๊ฒฝ์ฐ์๋ ํ ํฌ ๋ฆฌํ์ ์ ๋ถ ๋ง์กฑํ์ง ๋ชปํ์ง๋ง, ์ต์  ๋ชจ๋ธ์ ์ต์
์ ๊ฒฝ์ฐ์๋
                     ํ๊ท  ํ ํฌ๋ 20.22Nm, ํ ํฌ ๋ฆฌํ์ 8.25%๋ฅผ ๋ง์กฑํ๊ธฐ ๋๋ฌธ์ ๊ฐ๊ฑด์ค๊ณ๊ฐ ๋์์์ ํ์ธํ์๋ค. ํด๋น ๋ด์ฉ์ ํ 9์ ์ ๋ฆฌ๋์ด ์์ผ๋ฉฐ, ์ด๋ฅผ ํตํด์ ์๊ตฌ ์ฑ๋ฅ์ ๋ฌ์ฑํจ๊ณผ ๋์์ ๊ฐ๊ฑด์ค๊ณ๊ฐ ๋์์์ ํ์ธํ  ์ ์๋ค. ๋ํ ํด๋น ๊ฐ๊ฑด์ฑ ํ๊ฐ ๊ฒฐ๊ณผ์ ๋ํ ํต๊ณ์  ์ ์์ฑ์
                     ๊ฒ์ฆํ๊ธฐ ์ํด ๋
๋ฆฝํ๋ณธ t-test๋ฅผ ์ํํ์๋ค. ๊ทธ ๊ฒฐ๊ณผ, ์ด๊ธฐ ๋ชจ๋ธ๊ณผ ์ต์  ๋ชจ๋ธ์ ํ๊ท  ํ ํฌ ๋ฐ ํ ํฌ ๋ฆฌํ์ ๋ํ p-value ๊ฐ์ด ๋ชจ๋ 0.001
                     ์ดํ๋ก ๋์ถ๋์๋ค. ๋ฐ๋ผ์ ์ ์ํ ๊ธฐ๋ฒ์ ๊ฐ๊ฑด์ฑ ํ๊ฐ๋ ํต๊ณ์ ์ผ๋ก๋ ์ ๋ขฐํ  ์ ์๋ ๊ฒฐ๊ณผ์์ด ์
์ฆ๋์๋ค.
                  
                  
                        
                        
๊ทธ๋ฆผ 11. ๊ฐ๊ฑด์ฑ ํ๊ฐ ๊ฒฐ๊ณผ; (a) ํ๊ท  ํ ํฌ (b) ํ ํฌ ๋ฆฌํ
                     
                     
                        
Fig. 11. Robustness evaluation results; (a) Average torque (b) Torque ripple
                      
                  
                        
                        
ํ 9 ์ด๊ธฐ ๋ชจ๋ธ ๋ฐ ์ต์  ๋ชจ๋ธ์ ์ฑ๋ฅ ๋น๊ต
                     
                     
                        
Table 9 Comparison of result of initial model and optimal model
                     
                     
                           
                              
                                 | 
                                    
                                 
                                  Parameter 
                                 
                               | 
                              
                                    
                                 
                                  Initial 
                                 
                               | 
                              
                                    
                                 
                                  Optimal 
                                 
                               | 
                              
                                    
                                 
                                  Change [%] 
                                 
                               | 
                           
                           
                                 | 
                                    
                                 
                                  Average torque [Nm] 
                                 
                               | 
                              
                                    
                                 
                                  20.94 
                                 
                               | 
                              
                                    
                                 
                                  20.37 
                                 
                               | 
                              
                                    
                                 
                                  -2.72 
                                 
                               | 
                           
                           
                                 | 
                                    
                                 
                                  Torque ripple [%] 
                                 
                               | 
                              
                                    
                                 
                                  13.31 
                                 
                               | 
                              
                                    
                                 
                                  7.63 
                                 
                               | 
                              
                                    
                                 
                                  -42.67 
                                 
                               | 
                           
                           
                                 | 
                                    
                                 
                                  ฯ_Average torque 
                                 
                               | 
                              
                                    
                                 
                                  0.0030 
                                 
                               | 
                              
                                    
                                 
                                  0.0011 
                                 
                               | 
                              
                                    
                                 
                                  -63.33 
                                 
                               | 
                           
                           
                                 | 
                                    
                                 
                                  ฯ_Torque ripple 
                                 
                               | 
                              
                                    
                                 
                                  0.9040 
                                 
                               | 
                              
                                    
                                 
                                  0.1536 
                                 
                               | 
                              
                                    
                                 
                                  -83.01 
                                 
                               | 
                           
                        
                     
                   
                  ๋ฐ๋ณต ์ต์ ํ ๊ณผ์ ์์ ์์ฑ๋ ๋๋ฆฌ๋ชจ๋ธ์ ์
๋ฐ์ดํธํ ๊ฒฐ๊ณผ, ์์ธก ์ฑ๋ฅ์ด ํฅ์๋์์์ ํ์ธํ์๋ค. ํ 10์ ์ ์๋ ๋ฐ์ ๊ฐ์ด ํ๊ท  ํ ํฌ์ ๋ํ ๋๋ฆฌ๋ชจ๋ธ์ ๊ฒฐ์ ๊ณ์๋ 0.954์์ 0.976์ผ๋ก, ํ ํฌ ๋ฆฌํ์ ๋ํ ๋๋ฆฌ๋ชจ๋ธ์ ๊ฒฝ์ฐ์๋ 0.902์์ 0.953์ผ๋ก
                     ์ฆ๊ฐํ์ฌ ๋๋ฆฌ๋ชจ๋ธ์ ์์ธก ์ ๋ขฐ๋๊ฐ ๋ฐ๋ณต์ ํตํด์ ๋์์ก์์ ํ์ธํ์๋ค.
                  
                  
                        
                        
ํ 10 ๊ฐ ๋ชฉ์ ํจ์์ ๋ฐ๋ฅธ ์์ธก ์ฑ๋ฅ
                     
                     
                        
Table 10 The prediction performance of each object function
                     
                     
                           
                              
                                 | 
                                    
                                 
                                  Value 
                                 
                               | 
                              
                                    
                                 
                                  After step 1 
                                 
                               | 
                              
                                    
                                 
                                  After step 2 
                                 
                               | 
                           
                           
                                 | 
                                    
                                 
                                  Average torque (R2)
                                  
                                 
                               | 
                              
                                    
                                 
                                  0.954 
                                 
                               | 
                              
                                    
                                 
                                  0.976 
                                 
                               | 
                           
                           
                                 | 
                                    
                                 
                                  Torque ripple (R2)
                                  
                                 
                               | 
                              
                                    
                                 
                                  0.902 
                                 
                               | 
                              
                                    
                                 
                                  0.953 
                                 
                               | 
                           
                        
                     
                   
                  ์ต์ข
์ ์ผ๋ก ๋ณธ ๋
ผ๋ฌธ์์๋ ์ด๊ธฐ ๋๋ฆฌ๋ชจ๋ธ์ ์์ฑํ๊ธฐ ์ํด์ 500๊ฐ์ ๋ฐ์ดํฐ๋ฅผ ๋์ถํ์์ผ๋ฉฐ, GA๋ฅผ ์ํํ๋ฉด์ 2,000๊ฐ์ ๋ฐ์ดํฐ๋ฅผ ์ถ๊ฐ๋ก ์ถ์ถํ์๋ค.
                     ๋ฐ๋ผ์ ์ ์ํ ๊ธฐ๋ฒ์ ์ด 2,500๊ฐ์ ๋ฐ์ดํฐ๋ฅผ ํ์ฉํ์ฌ ๊ฐ๊ฑด์ฑ ํ๊ฐ๊น์ง ์ํํ๋ค. ํ์ง๋ง, ๋๋ฆฌ๋ชจ๋ธ์ ์ฌ์ฉํ์ง ์๊ณ  ๊ฐ๊ฑด์ค๊ณ๋ฅผ ์ํํ  ๊ฒฝ์ฐ, 2,500๊ฐ
                     ์ง์ ์์ ๊ฐ๊ฑด์ฑ ํ๊ฐ๋ฅผ ์ํด 28,561๊ฐ์ ๋ฐ์ดํฐ๋ฅผ ๊ฐ ์ง์ ์์ ์ถ๊ฐ๋ก ์ถ์ถ์ด ํ์ํ์ฌ ์ด 71,405,000๊ฐ์ ๋ฐ์ดํฐ๋ฅผ ์ถ์ถํ๋ค. ๋ฐ๋ผ์ ์ ์ํ
                     ๊ธฐ๋ฒ์ ์ฌ์ฉํจ์ผ๋ก์จ ๋งค์ฐ ํจ์จ์ ์ธ ๊ฐ๊ฑด์ค๊ณ๊ฐ ๊ฐ๋ฅํจ์ ํ์ธํ์๋ค.
                  
                
               
                     4.3 ๊ฐ์ ๋ฐ ์๋ ฅ ํด์ ๊ธฐ๋ฐ ๋ชจ๋ธ ํ๋น์ฑ ๊ฒ์ฆ
                  ์ต์ข
 ๋์ถ๋ ์ต์  ๋ชจ๋ธ์ ๋ด๊ตฌ์ฑ๊ณผ ์์ ์ฑ์ ๊ฒ์ฆํ๊ธฐ ์ํด์ ์๊ตฌ์์ ๊ฐ์ํด์๊ณผ ํ์ ์ ์๋ ฅํด์์ ์ํํ์๋ค. 
                  ๋ค์ค๋๋ฎด ๊ณ์ด์ ์๊ตฌ์์์ ๊ณ ์จ์ด ๋ ์๋ก ํด๋น ์์์ ์๋ฅ์์๋ฐ๋์ ๋ณด์๋ ฅ์ด ๊ฐ์ํ๊ฒ ๋๋ค. ๋ํ ๊ณ ์ ์์์ ๋ฐ์ํ๋ ์ญ์๊ณ๋ ๋ถ๊ฐ์ญ ๊ฐ์ํ์์ ๋ฐ์์ํค๊ฒ
                     ๋๋ค. ๋ฐ๋ผ์ ๋ณธ ๋
ผ๋ฌธ์์ ๊ฐ์ํด์์ ์ํํ๊ธฐ ์ํด์ ์จ๋๋ฅผ 100ยฐC๋ก ์ค์ ํ๊ณ  ์ต๋ ์ ๋ฅ๋ฅผ ์ธ๊ฐํ์ฌ ๊ฐํ ์ญ์๊ณ ํ์์ ํด์์ ์ํํ์๋ค. ํด๋น
                     ์กฐ๊ฑด์์, ๋ฌด๋ถํ-๋ถํ-๋ฌด๋ถํ ํด์์ ์์๋๋ก ํ์ฌ ์ฒ์ ๋ฌด๋ถํ ํด์์์์ ์ ์ญ๊ธฐ์ ๋ ฅ๊ณผ ๋ง์ง๋ง ๋ฌด๋ถํ ํด์์์์ ์ ์ญ๊ธฐ์ ๋ ฅ์ ๋ณํ๋ฅผ ๋ถ์ํ์๋ค.
                     ๊ทธ๋ฆผ 12(a)์ ๊ฐ์ด ๊ฒฐ๊ณผ๊ฐ ๋์ถ๋์์ผ๋ฉฐ, ํด๋น ๊ฒฐ๊ณผ๋ฅผ ํตํด์ ์ญ๊ธฐ์ ๋ ฅ ์ต๋์น์ ๋ณํ์จ์ 0.01%, rms์น์ ๋ณํ๋ 0.03%๋ก ๋ฏธ๋ฏธํ์ฌ ๊ฐ์ ๋ฐ์ ๊ฐ๋ฅ์ฑ์ด
                     ๋ฎ์์ ํ์ธํ์๋ค.
                  
                  
                        
                        
๊ทธ๋ฆผ 12. ์ต์  ๋ชจ๋ธ ํ๋น์ฑ ๊ฒ์ฆ ๊ฒฐ๊ณผ; (a) ์๊ตฌ์์ ๊ฐ์ํด์ ๊ฒฐ๊ณผ (b) ํ์ ์ ์๋ ฅํด์ ๊ฒฐ๊ณผ
                     
                     
                        
Fig. 12. Validation of the optimal model; (a) Result of permanent magnet demagnetization
                           analysis (b) Result of rotor stress analysis
                        
                      
                  ํ์ ์๊ฐ ๊ณ ์์ผ๋ก ํ์ ํ๋ ๊ฒฝ์ฐ ์์ฌ๋ ฅ์ด ๋ฐ์ํ๋ฉฐ, ์ด๋ ํ์ ์ ๊ฐํ ์ฌ์ง์ ํญ๋ณต๊ฐ๋๋ฅผ ๋์ด์๋ ์๊ฐ ํ์ ์์ ํ์์ด ๋ฐ์ํ๊ฒ ๋๋ค. ๋ํ, ์ํ
                     ์ธํ๊ธฐ ๊ตฌ๋์ฉ ๋ชจํฐ์ ๊ฒฝ์ฐ ํ์ ์์ 800~1200 rpm์์ ๋์ํ๋ค[11,12]. ๋ฐ๋ผ์ ๋ณธ ๋
ผ๋ฌธ์์๋ ๋ง์ง์ ๊ณ ๋ คํ์ฌ 1,500 rpm์์ ์๋ ฅํด์์ ์ํํ์์ผ๋ฉฐ, ๋ค์๊ณผ ๊ฐ์ ์์ ํตํด์ ์์ ์จ์ ๋์ถํ์๋ค.
                  
                  
                  ํด๋น ์์ ์ด์ฉํ์ฌ ์ต์  ๋ชจ๋ธ์ ์์ ์จ์ ๊ณ์ฐํ ๊ฒฐ๊ณผ, ํ์ ์ ์ฌ์ง์ธ 50JN1300์ ํญ๋ณต๊ฐ๋(Yield Stress)์ธ 370 MPa๋ฅผ FEA๋ฅผ
                     ํตํด ๋์ถ๋ ์ต๋ ์๋ ฅ(Maximum Stress)์ธ 21.61 MPa๋ก ๋๋ ๊ฐ์ผ๋ก๋ถํฐ ์์ ์จ์ 17.12๋ก ๋์ถ๋์๋ค. ์ผ๋ฐ์ ์ผ๋ก ์์ ์จ์ด 1.2
                     ์ด์์ผ ๊ฒฝ์ฐ, ๊ตฌ์กฐ์  ํ์ ๊ฐ๋ฅ์ฑ์ด ์๋ ๊ฒ์ผ๋ก ํ๋จ๋๋ค[13]. ๋ฐ๋ผ์ ํด๋น ๋ชจ๋ธ์์ ํ์ ์ ํ์ ๊ฐ๋ฅ์ฑ์ด ๋ฎ์์ ํ์ธํ์๋ค.
                  
                  ์ด๋ฅผ ํตํด์ ์ ์ํ ๊ธฐ๋ฒ์ด ์ค์  ์ธํ๊ธฐ ๊ตฌ๋์ฉ IPMSM์ ์ ์ฉ์ด ๊ฐ๋ฅํ ๊ฐ๊ฑด ์ต์  ์ค๊ณ๋ฅผ ํจ๊ณผ์ ์ผ๋ก ์ํํจ์ ํ์ธํ์๋ค.
                
             
            
                  5. ๊ฒฐ ๋ก 	
               ๋ณธ ๋
ผ๋ฌธ์์๋ ์ ์ ๊ณต์ฐจ๋ก ์ธํ ์ฑ๋ฅ ์ ํ ๋ฌธ์ ๋ฅผ ๊ทน๋ณตํ๊ณ , ์ค์  ์ ์ ์ ์ ๋ขฐํ  ์ ์๋ ์ ๋๊ธฐ ์ฑ๋ฅ์ ํ๋ณดํ๊ธฐ ์ํด ๊ธฐ๊ณํ์ต ๊ธฐ๋ฐ ๋๋ฆฌ๋ชจ๋ธ๊ณผ ์ ์ 
                  ์๊ณ ๋ฆฌ์ฆ์ ๊ฒฐํฉํ ์๋ก์ด ๊ฐ๊ฑด์ค๊ณ ๊ธฐ๋ฒ์ ์ ์ํ์๋ค. ์ ์๋ ๊ธฐ๋ฒ์ ์ด๊ธฐ ์ํ๋ง์ ๊ธฐ๋ฐ์ผ๋ก ๋๋ฆฌ๋ชจ๋ธ์ ๊ตฌ์ถํ๊ณ , ๊ณต์ฐจ ์ฐํฌ๋ฅผ ๊ณ ๋ คํ ๋ฌธ์ ์์ญ ์ถ์
                  ๊ธฐ๋ฒ์ ํตํด ๊ฐ๊ฑด์ฑ ํ๊ฐ์ ์ ๋ขฐ๋๋ฅผ ํ๋ณดํ์์ผ๋ฉฐ, ๋ฐ๋ณต ๊ณผ์ ์ ํตํด์ ์ต์ ํ๋ฅผ ์ํํ๋ฉด์ ๋๋ฆฌ๋ชจ๋ธ์ ์ง์์ ์ผ๋ก ์
๋ฐ์ดํธํ์ฌ ์์ธก ์ฑ๋ฅ์ ํฅ์์์ผฐ๋ค.
               
               ์ธํ๊ธฐ ๊ตฌ๋์ฉ IPMSM์ ๋์์ผ๋ก ํ ์ค์  ์ ์ฉ ๊ฒฐ๊ณผ, ํ๊ท  ํ ํฌ์ ํ ํฌ ๋ฆฌํ์ ๋ถ์ฐ์ด 60% ์ด์ ๊ฐ์ํ์์ผ๋ฉฐ, ํ ํฌ ๋ฆฌํ ๋ํ 40% ์ด์ ์ ๊ฐ๋๋
                  ๋ฑ ์ ๋์  ์ฑ๋ฅ ๊ฐ์ ์ด ๋ช
ํํ๊ฒ ์
์ฆ๋์๋ค. ํ๊ท  ํ ํฌ๋ ์ํญ ๊ฐ์ํ์์ผ๋ ์๊ตฌ ์ฑ๋ฅ์ ์ถฉ์กฑํ์์ผ๋ฉฐ, ์๊ตฌ์์ ๊ฐ์ํด์ ๋ฐ ํ์ ์ ์๋ ฅํด์์ ํตํด
                  ์ด์  ๋ฐ ๊ธฐ๊ณ์  ์์ ์ฑ๊น์ง ํ๋ณดํจ์ผ๋ก์จ ์ ์๋ ์ค๊ณ์์ ์์ ์ฑ ๋ํ ๊ฒ์ฆ๋์๋ค.
               
               ํนํ ๋ณธ ์ฐ๊ตฌ๋ ๋ฐ๋ณต ์ต์ ํ ๊ณผ์ ์์ ์์ฑ๋๋ ๋ฐ์ดํฐ๋ฅผ ํ์ฉํ์ฌ ๋๋ฆฌ๋ชจ๋ธ์ ๊ฐ์ ํจ์ผ๋ก์จ, ์ด๊ธฐ ๋ชจ๋ธ๋ณด๋ค ํ์ ํ ํฅ์๋ ์์ธก ์ฑ๋ฅ์ ํ๋ณดํ์๋ค. ์ด๋ฌํ
                  ๊ณผ์ ์ ๊ฐ๊ฑด์ค๊ณ์ ๋ฐ๋ณต ํจ์จ์ ๊ทน๋ํํ๋ฉฐ, ์ค์  ์ค๊ณ ๊ณผ์ ์์ ์๊ฐ์ ์ ๊ฐํ  ์ ์์ ๊ฒ์ผ๋ก ๊ธฐ๋๋๋ค. 
               
               ๋ฐ๋ผ์ ๋ณธ ๋
ผ๋ฌธ์์ ์ ์ํ ๊ธฐ๋ฒ์ ์ ํด์ง ์ฑ๋ฅ์งํ๋ฅผ ๋จ์ํ ๋ง์กฑํ๋ ์์ค์ ๋์ด, ์ ์ ๊ณต์ฐจ์ ๊ฐ์ ํ์ค์  ๋ถํ์ค์ฑ์ ๊ณ ๋ คํ ๊ฐ๊ฑด ์ต์  ์ค๊ณ๋ฅผ ํจ์จ์ ์ผ๋ก
                  ๊ฐ๋ฅํ๊ฒ ํ๋ค๋ ์ ์์ ๋์ ์๋ฏธ๋ฅผ ์ง๋๋ค. ํฅํ ๋ค์ํ ํ์, ๋์ ์กฐ๊ฑด ๋ฑ์ ๊ณ ๋ คํ  ์ ์์ผ๋ฉฐ, ์ ๊ธฐ์ฐจ ๊ตฌ๋์ฉ ๋ชจํฐ, ๋ก๋ด ๊ด์ ์ฉ ๋ชจํฐ ๋ฑ ๊ณ ์ ๋ขฐ์ฑ
                  ๋ชจํฐ ์ค๊ณ ์ ๋ฐ์ ํญ๋๊ฒ ์์ฉ๋  ์ ์์ ๊ฒ์ผ๋ก๋ ๊ธฐ๋๋๋ค.