• 대한전기학회
Mobile QR Code QR CODE : The Transactions of the Korean Institute of Electrical Engineers
  • COPE
  • kcse
  • 한국과학기술단체총연합회
  • 한국학술지인용색인
  • Scopus
  • crossref
  • orcid

이차 계획법을 활용한 대도시 지역의 복합 발전 및 태양광 시스템 용량 최적화에 관한 연구 Determination of Hosting Capacity for Combined Heat and Power and Photovoltaic Systems in Metropolitan Areas Using Quadratic Programming

https://doi.org/10.5370/KIEE.2026.75.4.695

김인수(Insu Kim)

This study proposes a methodology to evaluate the maximum feasible penetration levels of combined heat and power (CHP) and photovoltaic (PV) systems in densely populated urban areas with abundant solar resources. Microturbines (MTs) and PV units are modeled as distributed generation (DG) assets, and their optimal capacities are determined using a quadratic programming (QP) framework. The optimization is formulated as a hosting capacity (HC) problem for DG integration. To capture long-term investment and operational costs, life-cycle expenses are estimated with the HOMER platform and approximated through polynomial functions. These functions are incorporated into a cost-minimization problem that also accounts for technical constraints, such as voltage regulation. The QP model is implemented in MATLAB to identify HC configurations that balance economic efficiency with operational feasibility. A case study based on hourly electricity and thermal demand data from an urban residential community demonstrates the effectiveness of the approach. The findings provide practical guidance for utility planners and policymakers seeking to integrate CHP and PV systems in solar-rich metropolitan regions and advance the goal of 100% renewable energy.

태양광-풍력 출력의 시간-주파수 상관관계를 고려한 계통 운영자 관점의 배터리 에너지저장장치 용량 산정 Battery Energy Storage Capacity Sizing from a System Operator Perspective Considering Time-Frequency Correlation between PV and Wind Power

https://doi.org/10.5370/KIEE.2026.75.4.704

권유한(Yu-Han Kwon) ; 권구민(Gu Min Kwon) ; 김담(Dam Kim)

We propose a battery energy storage system (BESS) sizing method that uses time-frequency correlation between photovoltaic (PV) and wind to mitigate net-load variability without oversizing. Using 2019~2023 hourly data from four renewable-rich regions in Korea, we apply FFT-based normalized co-spectrum analysis to identify complementary time scales. Short-time Fourier transform (STFT) is then employed to derive time-varying weights emphasizing anti-correlated, high-output periods. With these weights, we formulate an optimization model that jointly determines BESS power and energy capacities by minimizing weighted residual net-load variability with capacity-penalty terms, subject to operational constraints. Across four regions and seasons, the proposed method achieves net-load smoothing comparable to an unweighted baseline while reducing energy capacity by 45.44~75.55% and operating duration by 18.5~70.99%. Larger gains occur when PV-wind complementarity is strong near the diurnal band.

Influence Graph 기반 연쇄사고 시나리오를 활용한 송전망 복구 및 복원력 평가 Transmission System Restoration and Resilience Assessment Using Influence-Graph-Based Cascading Outage Scenarios

https://doi.org/10.5370/KIEE.2026.75.4.715

김수현(Su-Hyun Kim) ; 허진(Jin Hur)

This study proposes a resilience assessment framework for power transmission systems under extreme weather conditions by integrating cascading outage modeling and restoration optimization. A Markovian Influence Graph was constructed using DC power flow simulations to generate probabilistic cascading sequences with N-k initial outages under stressed conditions, enabling the identification of critical transmission lines with high propagation influence. Representative scenarios were further analyzed with AC power flow in PSS/E, including redispatch, islanding, and Under Voltage Load Shedding to capture realistic propagation. A mixed-integer programming model was then formulated to optimize restoration sequences, considering generator start-up times, line repair constraints, and crew resources. The simulation results provided stepwise action plans and enabled the calculation of resilience metrics such as Energy Not Served, Expected Energy Not Served, Value at Risk, and resilience curve indices. The findings confirm that the proposed methodology effectively evaluates both outage propagation and recovery processes, offering a practical decision-support tool for operators to enhance resilience against High Impact Low Probability events.

전압 추정 기법 기반 변전소 AVR 정정을 통한 PV 연계 배전계통 전압 제어에 관한 연구 A Study on Voltage Control in Distribution Systems Through Substation AVR Adjustment Based on Voltage Estimation Techniques

https://doi.org/10.5370/KIEE.2026.75.4.724

임병창(Byeongchang Lim) ; 유연태(Yeuntae Yoo)

As the integration of Distributed Energy Resources (DERs) into distribution systems increases, challenges such as voltage instability due to reverse power flow and frequent tap operations of On-Load Tap Changers (OLTCs) are intensifying. Conventional Line Drop Compensation (LDC) methods fail to accurately predict the load center voltage under reverse power flow conditions, leading to unnecessary tap adjustments, which directly cause a reduction in the mechanical lifespan of OLTCs and an increase in maintenance costs. To overcome these limitations, this study proposes a new machine learning-based LDC technique that introduces a dynamic ‘correction factor ’ predicted by machine learning, while maintaining the structural simplicity of the conventional LDC formula. The proposed technique significantly improves voltage estimation accuracy by feeding real-time data available at the substation into a LightGBM model to predict the optimal correction factor , which reflects the ever-changing system conditions. To verify the performance of the proposed technique, a two-year time-series simulation was conducted on a modified IEEE 34-bus system built with OpenDSS, using actual weather and load data. The results showed that the proposed technique reduced the total number of OLTC tap operations by up to 25.9% compared to the conventional method, and the voltage stability range maintenance ratio significantly improved from 28.7% to 96.0% in the most unstable phase. This demonstrates that the proposed technique is a practical and effective solution that can extend the lifespan of OLTCs and simultaneously enhance the power quality and DER hosting capacity of distribution systems by intelligently upgrading the operation of existing equipment.

하루전 전력수요예측의 불확실성을 반영한 운영발전계획용 예비력 산정 개선방안 Methodology for Determining Operating Reserve Requirements Considering Day-Ahead Load Forecast Uncertainty

https://doi.org/10.5370/KIEE.2026.75.4.733

정진형(Jinhyung Jeung) ; 김시준(Sijun Kim) ; 위영민(Young-Min Wi)

This paper presents a methodology for determining operating reserve requirements in the operating plan stage by explicitly incorporating day-ahead load forecast uncertainty. The proposed approach estimates the distribution of under-forecast errors using a non-parametric method and determines additional upward reserve requirements based on risk-based quantile selection reflecting the system operator’s objectives. To capture practical operating conditions, monthly classification and segmentation into high- and low-load periods are applied using recent system data. Case study results indicate that reserve requirements exceed 10% of annual peak demand during high-load periods, while stable operation is possible below the conventional minimum reserve criterion during low-load periods. Compared with a uniform reserve requirement, the proposed differentiated approach maintains system reliability while reducing unnecessary reserve procurement, thereby improving operational efficiency.

태양광 연계 배전망을 위한 DNN 기반 전압제어의 가중치 최적화에 대한 연구 A Study on Weight Optimization of DNN-Based Voltage Control for PV-Integrated Distribution Networks

https://doi.org/10.5370/KIEE.2026.75.4.741

임진우(Jin-Woo Lim) ; (Peng Y. Lak) ; 이현탁(Hyun-Tak Lee) ; 최종길(Jong-Gil Choi) ; 남순열(Soon?Ryul Nam)

This paper proposes a Differential Evolution (DE)?based weight optimization framework built upon a DNN-based optimal power flow (OPF) structure capable of maintaining stable voltage regulation under limited observability. The DNN-based voltage control has previously been introduced as an efficient OPF surrogate achieving voltage regulation performance comparable to scenario-based Convex-CCOPF with significantly reduced computational burden, and this study extends the framework by treating the objective function weights as design variables. By optimizing the weights based on system responses over an entire scenario horizon, the proposed approach enables systematic performance adjustment while preserving voltage stability. Simulation results show that all bus voltages remain within the allowable range, while the voltage deviation from the nominal value slightly increases in terms of RMSE but stays within acceptable limits. Under these conditions, the daily total energy loss is reduced from 5.88421 MWh to 4.54900 MWh, corresponding to a 22.7% reduction, and the cumulative OLTC tap operations decrease from 9 to 8. Using a Total Performance Index that combines stability and efficiency metrics, the proposed DE-based weight optimization achieves an overall performance improvement of 27.81% compared to the baseline weight setting. These results demonstrate that incorporating weight optimization into a DNN-based OPF framework provides a practical and extensible voltage control solution that enables performance tuning according to operational objectives while maintaining system stability.

발전량 구간에 따른 Levy Process 기반 예측 오차 분포 활용한 최적 예측 정산금 산출을 위한 풍력 발전량 입찰 전략 개발 Developing Optimal Wind Power Offer Strategy for Maximizing Forecasting Payment by Modeling the Forecasting Error Distribution through the Levy Process for Different Wind Power Levels

https://doi.org/10.5370/KIEE.2026.75.4.748

임정협(Jung-Hyeop Im) ; 고영준(Young-Jun Go) ; 정민규(Min-Kyu Jung) ; 김민성(Min-Sung Kim) ; 이두희(Duehee Lee)

This study proposes a strategic framework for maximizing expected profits in renewable energy markets under step-wise payment structures. We propose a probabilistic submission method that integrates a Sequence-to-Sequence model with a logit transformation and a Levy process. First, a deep learning model such as Long Short?Term Memory generates a day-ahead normalized wind power trajectory using historical data and weather forecasts. The normalized trajectory is transformed into logit space so that forecasting errors can be modeled more effectively for bounded power values. Second, to capture heavy tails, asymmetry, and power-level?dependent uncertainty, forecasting errors are classified into regimes and modeled using a Levy process. The framework then combines the stochastic error model with the deterministic trajectory to generate realistic scenario distributions. By evaluating expected revenues over these distributions, the method derives the optimal submitted quantity that maximizes expected profit.

국내 AI 데이터센터의 비용최적 전력구매 포트폴리오 전략 A Cost-Optimal Electricity Procurement Portfolio for AI Data Centers in South Korea

https://doi.org/10.5370/KIEE.2026.75.4.765

허강혁(Kang-Hyeok Heo) ; 최어진(Eo-Jin Choi) ; 김승완(Seung-Wan Kim)

The rapid expansion of artificial intelligence (AI) technology has led to a significant increase in data center power demand. Since data centers consume large amounts of power, electricity procurement costs account for a significant portion of total operating costs. Accordingly, interest in minimizing total electricity costs is expected to grow through the joint consideration of procurement options and load management strategies. Nevertheless, research on such strategies remains limited. To fill this gap, this study develops an optimization model for minimum-cost annual electricity procurement for large-scale AI data centers in Korea, reflecting domestic tariffs and settlement rules. The candidate procurement options include Korea electric power corporation (KEPCO) selective rate plans, the power market direct purchase system, and renewable energy power purchase agreements (PPAs). The model co-optimizes battery energy storage operation and time-shifting of AI training loads. Hourly demand scenarios are generated from capacity, utilization, inference/training ratio, and state-transition characteristics, while renewable energy supply is represented by regional hourly solar generation scenarios. Case studies show that average procurement cost declines as contracted PPA capacity increases, and that combining KEPCO Choice 3 with a PPA yields the lowest cost under the tested conditions. In this case, time-shifting of the training load reallocates consumption from high-rate peak hours to off-peak periods, enabling effective peak-cost avoidance. The proposed framework provides quantitative decision support for AI data centers within Korea's institutional context.

AI 학습 데이터센터 입지 및 수요반응의 전력계통 운영 영향 분석 Analysis on AI Training Data Center Siting and Demand Response in Power System Operation

https://doi.org/10.5370/KIEE.2026.75.4.775

신재현(Jae-Hyeon Shin) ; 최어진(Eo-Jin Choi) ; 김승완(Seung-Wan Kim)

AI services are driving rapid growth in electricity demand from AI training data centers (AI DCs). With increasing renewable penetration, AI DC siting and flexibility can change congestion, reserves, and curtailment. We develop a MILP-based unit commitment (UC) model that embeds a two-state (idle/training) AI DC load with a fixed training-energy requirement and minimum dwell-time constraints. The AI DC schedule is co-optimized with thermal UC, reserves, and DC power-flow limits. Using a reduced Korean system model, we evaluate four scenarios combining siting (Metropolitan vs. Jeonnam) and operation (constant vs. demand-responsive) for 2030 and 2035 using yearly rolling-horizon simulations. In 2035, the Jeonnam siting plus demand-response case reduces curtailment by 30.92% and operating cost by 4.75% (KRW 56.7 billion) relative to the baseline. The framework supports quantitative grid-impact assessment and policy design for large AI DC loads.

전압 기준값 섭동을 활용한 그리드 포밍 인버터의 단독운전 감지 방법 제안 Islanding Detection Method for Grid-Forming InverterUsing Voltage Reference Perturbation

https://doi.org/10.5370/KIEE.2026.75.4.784

최예진(Yejin Choi) ; 정승민(Seungmin Jung) ; 유연태(Yeuntae Yoo)

Traditional islanding detection methods have been developed for the grid-following inverters. However, these methods are not directly applicable to grid-forming inverters because they regulate voltage and frequency. This paper proposes an islanding detection method specifically desinged for grid-forming inverters. Unintentional islanding scenarios are simulated using PSCAD/EMTDC witin the IEEE Std. 929-2000 test system. The proposed approach initially detects abnormal conditions by monitoring the rate of change of frequency. Subsequently, the voltage reference of the grid-forming inverter is finely adjusted within the nomial voltage range to determine whether the inverter operates in islanding mode. This perturbation-based method can distinguish islanding events from non-islanding transients such as faults.

지능형 발전기 IED를 위한 오동작 방지 Maloperation Prevention for Intelligent Generator IED

https://doi.org/10.5370/KIEE.2026.75.4.791

박철원(Chul-Won Park)

Regarding a next-generation multi-function integrated IED, since power swing, out-of-step, and loss of field in generators commonly use impedance trajectory based protection techniques, each transient phenomenon must be accurately identified to prevent maloperation. This paper, as part of the leading application of intelligent generator IED, we present an improved technique for preventing maloperation based on DWT. We first summarize the principles of power swing, out-of-step, and field loss protection elements of IED. Next, we design the generator system targeting Chilbo Hydroelectric P/P using PSCAD software, an EMT platform. We verify the validity of steady-state simulation. Finally, we analyze and identify the simulation of power swing, out-of-step, and field loss phenomena based on impedance trajectories and proposed technique based on DWT while varying various conditions. As a result of the simulation, the three phenomena were accurately identified, thus preventing maloperation.

간헐적 재생에너지원 연계 시스템의 강건도 A Strength Index of Intermittent Renewable Energy Sources Linked System

https://doi.org/10.5370/KIEE.2026.75.4.798

이금재(Geum-Jae Lee) ; 박철원(Chul-Won Park)

With the global energy transition policies, the deployment of inverter-based resources (IBR) has been rapidly expanding. Unlike synchronous generators, IBRs have limited short-circuit current capability and negatively affect voltage stability during disturbances, thereby weakening overall system strength. In this paper, to accurately assess the robustness of power systems under the growing penetration of intermittent renewable energy sources (IRES), we introduce strength indices including SCR, CSCR, WSCR, and MIESCR. Their effectiveness is verified through application to two hybrid model systems. First, the system is equivalently reduced to perform overall screening, and then node-level assessments are carried out to reflect local characteristics and identify vulnerable nodes. Finally, MIESCR is applied to consider multi-infeed interactions, and this methodology is validated on the Jeju hybrid power system, demonstrating a more realistic framework for system strength evaluation.

TRI-S 모델 기반 전기-열 복합 리튬이온 배터리의 열 위험 조기 예측 및 확률 분석 Early Thermal-Risk Prediction and Probabilistic Analysis of Lithium-Ion Batteries Using the TRI-S Model

https://doi.org/10.5370/KIEE.2026.75.4.804

박은주(Eun-Joo Park)

The present paper introduces TRI-S, a probabilistic early warning model for predicting lithium-ion battery thermal runaway. The model integrates the Self-Heating Rate (SHR) and Mass Loss Rate (MLR) indicators into a unified Risk Index, thereby offering a comprehensive risk assessment that surpasses the limitations of conventional single-parameter methods. TRI-S employs Monte Carlo simulations to generate probabilistic risk distributions, enabling robust differentiation between high-risk and normal operating states. The validation of the system across LCO, LFP, and NCA chemistries demonstrates superior early detection performance compared to traditional threshold-based systems. Integration with battery management systems enables proactive thermal runaway mitigation, offering a generalizable safety solution for diverse lithium-ion battery applications.

하이퍼네트워크 기반 파라미터화된 물리 정보 신경망을 통한 강인한 배터리 충전 상태 추정 Robust Battery SOC Estimation via Hypernetwork-Based Parameterized Physics-Informed Neural Networks

https://doi.org/10.5370/KIEE.2026.75.4.813

장유석(Yu-Seok Jang) ; 김영진(Young-Jin Kim)

Accurate state-of-charge (SOC) estimation is essential for battery management systems (BMS). However, conventional methods face challenges with parameter dependency or struggle with stability under unseen operating conditions. This paper proposes a novel hybrid framework integrating temporal sequence learning with parameterized physics-informed neural networks (PPINN) governed by electrochemical constraints. The architecture employs a hypernetwork that generates dynamic weights characterized by initial SOC values, enabling adaptive learning across diverse operating conditions. This allows the model to learn a generalized solution space by combining physics-based knowledge with data-driven modeling, thereby avoiding repetitive training. Experimental validation across various temperatures and driving cycles demonstrates superior performance, achieving generalization capability and robustness with high accuracy.

슬롯리스 영구자석 동기전동기의 PWM 구동에 따른 전자계 성능 분석 Analysis of Electromagnetic Performance in Slotless Permanent Magnet Synchronous Motor under PWM Drive

https://doi.org/10.5370/KIEE.2026.75.4.824

구희원(Hee-Won Koo) ; 이주(Ju Lee) ; 홍현빈(Hyeon-Bin Hong) ; 조채원(Chae-Won Jo) ; 다이자량(Jialiang Dai)

This paper investigates the influence of PWM-induced current harmonics on the electromagnetic performance of slotless PMSMs. The operation principle of PWM current harmonics is analyzed from a mathematical model of slotless PMSMs. To analyze the current harmonic, motor control simulations are implemented to obtain current waveforms under PWM operation. These current waveforms are applied in finite element analysis to evaluate the electromagnetic performance. Since PWM current harmonics are dependent on both switching frequency and inductance, the resulting copper loss, iron loss, AC loss, and torque ripple are analyzed with respect to these parameters. As a result, as both switching frequency and inductance increase, the electromagnetic performance, including loss and torque characteristics, is improved. The results provide a comprehensive evaluation of the electromagnetic performance of slotless PMSMs under PWM operation, highlighting the role of current harmonics.

약계자 제어를 고려한 전기자동차용 매입형 영구자석 동기전동기의 회전자 설계 및 성능 고찰 Rotor Design and Performance Investigation of a IPMSM considering the flux weakening control for EV applications

https://doi.org/10.5370/KIEE.2026.75.4.832

최거승(Geo-Seung Choi) ; 손동혁(Dong-Hyeok Son) ; 조윤현(Yun-Hyun Cho)

This paper presents the design and and performance characteristics of the interior permanent magnet synchronous motor (IPMSM) with double V shape PM rotor structure for high performance electrical vehicle traction applications. The performance of a 150kW IPMSM is required to operate a constant power speed range (CPSR) of over 3 within the condition of inverter capability. The interior PM rotor structure shape considering the magnetic flux weakening control in a given specific output performance and constant power speed ratio (CPSR) is determined in the response surface method (RSM) optimization process for the rotor design of a two-layer V-shaped permanent magnet array. The performance characteristics such as magnetic flux density, cogging torque, d-q axis inductance, torque, power and torque ripple were computed by FEM software. To verify the performance characteristics for EV traction applications. The designed prototype IPMSM operating with the flux weakening range from the base speed of 4000[rpm] to the maximum speed of 12000[rpm] was manufactured and investigated. Performance characteristics were compared with the FEM results and experimental values.

EV 구동 모터 재질 및 주행 사이클에 따른 에너지 소비 특성 분석 Analysis of Energy Consumption in Electric Vehicles Considering Motor Materials and Driving Cycles

https://doi.org/10.5370/KIEE.2026.75.4.841

김유정(Yu-Jeong Kim) ; 황인준(In-Jun Hwang) ; 장선주(Sun-Ju Jang) ; 박민로(Min-Ro Park)

Improving the energy consumption rate of electric vehicles is a critical challenge for extending driving range and enhancing battery performance. In this study, an interior permanent magnet synchronous motor was designed, and efficiency maps were derived for four motor models with variations in permanent magnet, conductor, and core materials. By applying the US06, HWFET, FTP-75, and WLTC driving cycles to an EV system model, battery ECR was compared, revealing that the motor with modified permanent magnet material generally exhibited lower energy consumption and superior efficiency. This research clarifies that EV energy consumption characteristics are determined by the interaction between the efficiency map's shape and the distribution of operating points in actual driving cycles, rather than by the maximum efficiency at a single operating point. Consequently, this study suggests the necessity of a system-level motor design strategy that accounts for real-world driving conditions.

수동 셀 이퀄라이저 동작 조건별 배터리 팩 가용 용량 분석 Analysis of Available Capacity in Battery Packs According to Operating Criteria of a Passive Cell Equalizer

https://doi.org/10.5370/KIEE.2026.75.4.850

배영민(Young-Min Bae) ; 이성준(Sung-Jun Lee) ; 이상력(Sang-ryuk Lee) ; 김종훈(Jonghoon)

As the use of large-capacity battery packs increases, passive cell equalizers have become an essential function of battery management systems (BMS) to mitigate cell-to-cell imbalance. However, the operating criteria of passive cell equalizers have been determined empirically, and although comtrol methods based on state of charge (SOC) have recently been proposed. direct comparisons with conventional voltage-based operation remain limited. Moreover, few studies have examined the effect of these operating criteria on maximizing the available capacity of battery packs. This study develops a BMS integrating a passive cell equalizer and implements dedicated firmware to evaluate these strategies. Flowcharts for voltage-based and SOC-based balancing are designed and embedded in the actual BMS to compare and analyze the available capacity of the battery pack after imbalance mitigation. The comparative analysis presented in this study is expected to support the determination of optimal cell equalizer operating criteria and contribute to the design of battery packs that maximize their available capacity.

다중 피처를 활용한 XGBoost-SHAP 기반 설명 가능한 배터리 열화 환경 분류 Explainable XGBoost-SHAP-Based Classification of Battery Degradation Environments Using Multi Features

https://doi.org/10.5370/KIEE.2026.75.4.859

양가람(Ga-ram Yang) ; 박준형(Junhyeong Park) ; 김종훈(Jong-hoon Kim)

With the rapid growth of the electric vehicle (EV) industry driven by carbon neutrality policies, the number of retired lithium-ion batteries (LIBs) is increasing. Although batteries reach end of life in high-power applications, they still retain residual capacity for reuse in low-power systems, emphasizing the need for non-destructive and reliable state assessment. However, conventional indicators such as capacity or internal resistance are insufficient to distinguish complex degradation mechanisms that vary with environmental and operational history. This study integrates incremental capacity analysis (ICA), differential voltage analysis (DVA), and distribution of relaxation times (DRT) to extract physically meaningful features that reflect static and dynamic electrochemical behavior. Using these multi-domain features, an XGBoost-based classification model was developed to identify degradation environments. The model achieved classification accuracy with limited experimental data. To enhance interpretability, SHAP (Shapley Additive Explanations) analysis was employed to quantify feature contribution, linking the model’s decision to electrochemical phenomena including ICA and DRT peak variations. The proposed ICA-DVA-DRT fusion with XGBoost-SHAP framework enables explainable and reliable inference of degradation environments, contributing to efficient repurposing of second-life LIBs.

동기 PWM을 적용한 인버터의 선형 영역 확장을 위한 정적 과변조 기법 Steady-State Overmodulation Method for Extending the Linear Region of Inverters Applying Synchronous PWM

https://doi.org/10.5370/KIEE.2026.75.4.870

정혜인(Hye-In Jeong) ; 김상훈(Sang-Hoon Kim)

When AC motors used in applications such as railway vehicles and vacuum cleaners operate in the high-speed region, the fundamental frequency is relatively high compared to the switching frequency, resulting in a low frequency modulation index. Under these conditions, if asynchronous PWM with a fixed switching frequency is employed for voltage modulation, the switching frequency cannot be synchronized to an integer multiple of the fundamental frequency. As a result, subharmonics appear in the inverter output voltages and currents, leading to torque ripple, increased losses, and noise in AC motors. To address these issues, synchronous PWM is required to synchronize the switching frequency with an integer multiple of the fundamental frequency. In this case, an overmodulation method is essential to drive the inverter up to six-step mode, leading to enhanced output torque capability of AC motors. However, conventional overmodulation methods developed for asynchronous PWM are not suitable for use in synchronous PWM. Therefore, this paper proposes a steady-state overmodulation method applicable to synchronous PWM. The proposed method can extend the linear region of the inverter by achieving a unit voltage gain up to the six-step mode, thereby enhancing the output torque capability compared with conventional overmodulation methods. Its effectiveness was verified through computer simulations and experiments on a PMSM (Permanent Magnet Synchronous Motor).

퍼지 논리를 이용한 분산 다개체 시스템의 강인 합의 제어 Fuzzy Logic-based Robust Consensus Control of Distributed Multi-agent Systems

https://doi.org/10.5370/KIEE.2026.75.4.878

정제하(Jehah Jeong) ; 조강민(Kangmin Jo) ; 좌동경(Dongkyoung Chwa)

This paper proposes a fuzzy logic-based robust control scheme for distributed multi-agent systems, where finite-time consensus is ensured in the presence of model uncertainties. Because each agent communicates only with its neighbors and model uncertainties are inherent, achieving consensus is challenging. A robust finite-time consensus controller based on graph theory is developed by using signum function in control input. However, the use of signum function inevitably induces input chattering, which may cause actuator faults. To mitigate this issue while improving control performance, fuzzy logic is employed to adaptively adjust the control gain of signum function. The effectiveness of the proposed method is validated through simulations.

소형 밀리미터파 추적 레이더를 위한 광대역 다중 운용 모드 신호처리기 개발 Development of a Broadband Multi-Operation Mode Signal Processing Unit for Small Millimeter Wave Tracking Radar

https://doi.org/10.5370/KIEE.2026.75.4.885

이재원(Jae-Won Lee) ; 최진규(Jin-Kyu Choi) ; 안세환(Se-Hwan An) ; 신영철(Young-Cheol Shin) ; 홍순일(Soon-Il Hong) ; 류제덕(Jae-Deok Ryu) ; 이지영(Ji-Young Lee) ; 이재웅(Jae-Woong Yi) ; 주지한(Ji-Han Joo)

This paper summarizes the development of a broadband multi-operation mode signal processing unit for small millimeter wave tracking radar. The signal processing unit supports multiple operating modes to accommodate diverse environments and possesses broadband signal processing capabilities. The signal processing unit in this paper consists of three boards: DAQ, OPC, and PWR. A digital receiver is designed for the DAQ to receive and process a 3-channel broadband reception signal with an specific center frequency above 100MHz. The digital receiver utilizes an ADC for high-speed sampling and an FPGA-based DDC(Digital Down Converter). The DDC incorporates various functions, including a DDS (Direct Digital Synthesizer), an FIR (Finite Impulse Response) filter, and decimation. The DDC has two operating modes, A and B, and uses different DDC paths for signal processing depending on the mode. Furthermore, a FFT(Fast Fourier Transform) and data type conversion are applied to reduce the load on the DSP(Digital Signal Processor) in the postprocessing stage. In OPC, multi-core DSP are used for post-processing to detect and track targets in parallel. In addition, external interfaces are used to control the radar system. And PWR is designed to supply the power required for the signal processing unit. Finally, tests were conducted to verify the performance of the signal processing unit. Reception dynamic range and frequency error measurement tests were conducted, and all tests achieved their objectives. This verified the development of a broadband multi-operation mode signal processing unit.

대규모 안전교육 가상훈련을 위한 통합제어 시스템 개발 Development of Integrated control system for Large-scale safety education Virtual Training

https://doi.org/10.5370/KIEE.2026.75.4.891

채창훈(Chang-Hun Chae)

Power industry sites are constantly exposed to hazardous environments, where major disasters occur each year. Therefore, implementing preventive measures to avoid accidents is crucial for worker safety. However, traditional methods of safety education, relying on text and video, have significant limitations in accident prevention. In response, safety education is increasingly turning to virtual reality (VR) technology to address these shortcomings. However, widespread adoption of VR faces challenges. VR training typically involves wearing a Head-Mounted Display (HMD) and managing complex equipment, which complicates scalability for larger groups of trainees. To tackle these challenges, we have developed an integrated control system. This system allows multiple trainees to engage in virtual training simultaneously, integrates and manages various types of HMD equipment, and enables instructors to easily monitor and control sessions from a central location.

초실감 안전교육을 위한 워크스루 훈련장 구축 연구 Development of the walk-through Training Groundfor Hyper-realistic Safety Education

https://doi.org/10.5370/KIEE.2026.75.4.895

채창훈(Chang-Hun Chae)

This paper presents the design and implementation of a walk-through based immersive safety training environment for industrial applications. The proposed system enables trainees to physically move within an indoor training space while interacting with virtual safety scenarios through a Head-Mounted Display (HMD) and a full-body motion capture suit. A multi-camera optical tracking system is employed to estimate the trainee’s position using active markers and singular value decomposition (SVD), while an extended Kalman filter (EKF)-based approach is applied for full-body posture estimation. The integration of position tracking and posture tracking ensures spatial consistency between real-world movement and virtual environment interaction. The constructed 8m×6m training space demonstrates the feasibility of walk-through based immersive safety training applicable to industrial environments.

CBTC 통신두절 열차 위치 표출 구현에 관한 연구 A Study on Communication-Failed Train Position Display in CBTC

https://doi.org/10.5370/KIEE.2026.75.4.899

황욱진(Wook Jin Hwang) ; 강정원(Jeong Won Kang)

This study presents a system technology that uses trackside tags and onboard tag readers to display train positions independently of the existing train operation system, even in the event of communication failures. Its implementation was analyzed on an actual operating line. Furthermore, the features and functions of the implemented technology were compared with those of the existing operation system, to evaluate the reliability and potential limitations of the proposed approach. Areas for improvement identified during system operation were also discussed, and possible solutions were proposed. In some domestic railways, axle counters have been installed near switches to prevent position loss for trains affected by communication failures in CBTC systems. However, other operators have not adopted this measure due to the high costs of installation and maintenance. The proposed positioning system utilizes equipment already present in onboard and wayside signaling systems, thus offering the advantages of lower installation and maintenance costs and minimal interference with existing systems. It is expected that this system will enhance operational safety and minimize passenger inconvenience during severe communication failure scenarios.

설비종합에너지효율을 이용한 공장에너지관리시스템(FEMS) 고도화와 제조업의 ESG 경영 성과 평가에 관한 연구 Study on the advancement of the factory energy management system(FEMS) using the overall equipment & energy efficiency and the evaluation of ESG management performance in the manufacturing industry

https://doi.org/10.5370/KIEE.2026.75.4.909

이병진(Byung-Jin Lee) ; 차준민(Jun-Min Cha) ; 김규호(Kyu-Ho Kim)

This research introduces Overall Equipment & Energy Efficiency(OE2E), integrating production efficiency with energy management for sustainable manufacturing. Traditional Factory Energy Management Systems (FEMS) only monitor energy consumption, while Overall Equipment Effectiveness (OEE) measures production efficiency independently. OE2E combines both by multiplying OEE (availability, performance, quality rates) with Energy Efficiency (used/input energy ratio). The methodology creates three management zones: "Sustained Maintenance" (64-81 %), "Improvement Management" (36-56 %), and "Improvement Required" (25-30 %). An ESG scoring system uses current-to-previous period OE2E ratios for A-D sustainability ratings. Validation at an electronics facility confirmed OE2E's effectiveness in identifying improvement opportunities across production lines through comparative visualization tools. Key contributions include: expanding OEE to encompass energy efficiency, integrating FEMS with ESG management, providing quantitative metrics for simultaneous energy and ESG improvement, offering practical decision-support tools, and creating cost-effective ESG frameworks for SMEs. Future research will explore diverse manufacturing sectors, develop AI prediction models, enhance real-time data collection, and analyze OE2E-ESG performance correlations with financial outcomes. OE2E enables manufacturers to balance productivity with energy conservation, supporting climate objectives and ESG goals while maintaining competitiveness in environmentally conscious markets.

앙상블 기반 불확실성 추정을 이용한 모터 드라이브 시스템 고장 진단 Ensemble-Based Uncertainty Estimation for Fault Diagnosis in Motor Drive Systems

https://doi.org/10.5370/KIEE.2026.75.4.917

서현욱(Hyunuk Seo) ; 한병길(Byung-Kil Han) ; 김훈(Hun Kim) ; 심재훈(Jaehoon Shim)

This study proposes a supervised-learning-based fault diagnosis framework for motor drive systems, enhanced by a ensemble-based uncertainty estimation technique. Although supervised diagnostic models typically achieve strong performance for known fault patterns, their prediction reliability degrades when facing operating conditions or fault types not included in the training data. In addition, certain fault classes inherently exhibit low discriminability, leading to unstable predictions and reduced diagnostic accuracy. To address these limitations, the proposed framework quantifies epistemic uncertainty to directly assess the confidence of each diagnostic output. By analyzing how uncertainty behaves for poorly learned classes, misclassified samples, and previously unseen fault scenarios, the results demonstrate that uncertainty measures provide strong discriminative power between in-distribution and out-of-distribution inputs. This capability enables effective identification of unreliable predictions and contributes to improving the practical robustness and trustworthiness of data-driven motor-drive fault diagnosis systems.

페라이트 영구자석 활용 초소형 전기차 구동용 이중계층 스포크 타입 전동기 설계 연구 Design of a Ferrite Permanent Magnet Double-Layer Spoke type Motor Employing Core Skew for Ultra-Compact Electric Vehicle Traction

https://doi.org/10.5370/KIEE.2026.75.4.926

남동우(Dong-Woo Nam) ; 김광수(Kwang-Soo Kim)

This paper proposes a ferrite permanent magnet?based double-layer spoke-type permanent magnet synchronous motor for ultra-compact electric vehicle traction applications, aiming to achieve high torque density while reducing cost and dependence on rare-earth materials. By adopting a double-layer spoke rotor structure, the q-axis inductance is increased, enabling effective utilization of reluctance torque to enhance overall performance. Although the double-layer spoke-type rotor structure is effective in enhancing reluctance torque utilization, it tends to exacerbate cogging torque, torque ripple, and harmonic distortion. Therefore, a core skew technique is employed to alleviate these undesirable effects. Key design parameters such as magnet thickness, rotor radius, I-core thickness, and tooth thickness are systematically optimized based on the required torque?speed operating region derived from vehicle driving conditions, and an integrated performance index incorporating cogging torque, torque ripple ratio, and line voltage total harmonic distortion (THD) under load is employed to determine the optimal design. The proposed motor is evaluated through two-dimensional and three-dimensional finite element analysis and validated experimentally using a prototype and dynamometer testing. Experimental results demonstrate that the proposed design achieves a cogging torque reduction of approximately 95 %, a torque ripple reduction of 37 %p, and a decrease of about 14 %p in line voltage THD under load compared to a conventional Nd-based motor, while the measured average torque and torque ripple agree with the analysis results within 1 % error, confirming the validity and reliability of the proposed design methodology.

3상 4선식에 대한 최신의 전력 부하 대응을 위한 SVC의 동기화 제어 기법 A Synchronization Control Method for SVC to Address Modern Power Loads in Three Phase Four-wire Systems

https://doi.org/10.5370/KIEE.2026.75.4.935

임종호(Jong-ho Lim) ; 이현재(Hyun-jae Lee) ; 손진근(Jin-geun Shon) ; 박주헌(Joo-heon Park)

This paper presents a synchronous control method for a thyristor-controlled reactor (TCR) applied to a three-phase power system and verifies its power factor correction performance. To this end, the structure of a three-phase four-wire power system is analyzed, and a synchronization-based control strategy suitable for this system is developed. The proposed method is implemented using a Y-connected TCR, and its effectiveness is evaluated through both simulation and hardware experiments. The simulations were conducted using PSIM, while the hardware experiments were performed with a capacitive load configured using AC capacitors to create a leading power factor condition. The results confirm that the proposed synchronous control-based TCR improves the power factor effectively in a three-phase four-wire system.

전자식 브레이크 전자계-열 연성 해석을 이용한 성능개선에 관한 연구 A Study on the Performance Improvement Using Electromagnetic Brake Electromagnetic-Thermetic Analysis

https://doi.org/10.5370/KIEE.2026.75.4.942

김동현(Dong-Hyeon Kim) ; 오승미(Seung-Mi Oh) ; 송수진(Su-Jin Song) ; 유광현(Gwang-Hyeon Ryu) ; 이호준(Ho-Joon Lee)

In this paper performance improvement of an electromagnetic brake is investigated based on electromagnetic?thermal coupled analysis. In a normally closed electromagnetic brake continuous current is supplied to the coil to maintain the brake release condition, which results in ohmic loss in the winding and consequently causes temperature rise and degradation of electrical performance. In particular for a sealed brake structure heat dissipation is significantly limited; therefore the current density of the coil and the resulting thermal behavior become critical design parameters. Accordingly this study focuses on a design approach that explicitly considers current density to improve the brake performance. Two-dimensional and three-dimensional finite element analysis were conducted to evaluate the electromagnetic characteristics and losses, and the calculated losses were subsequently applied to thermal analysis. The analysis results demonstrate that the model derived from the proposed design process exhibits stable convergence of the winding temperature under continuous operation conditions. Furthermore despite the increase in winding resistance due to temperature rise, it was confirmed that the braking operation is not adversely affected.

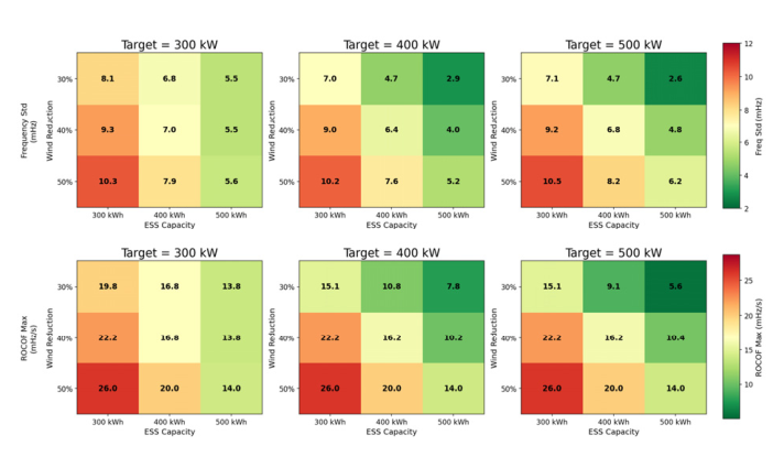
재생에너지 연계 배전계통의 ESS 주파수 안정화 분석을 위한 웹 기반 Co-Simulation 플랫폼 개발 Development of a Web-based Co-Simulation Platform for ESS Frequency Stabilization Analysis in Renewable Energy Integrated Distribution Systems

https://doi.org/10.5370/KIEE.2026.75.4.948

홍석재(Seokjae Hong) ; 김민호(Minho Kim) ; 임정택(Jeongtaek Lim) ; 함경선(Kyung Sun Ham) ; 김태형(Taehyoung Kim)

As renewable energy penetration increases, frequency stability in distribution systems has become a major challenge. Energy Storage Systems (ESS) offer fast and effective frequency regulation, but existing co-simulation tools require programming expertise, limiting their practical use. This paper proposes a web-based co-simulation platform that enables operators to evaluate ESS frequency stabilization effects without programming knowledge. The platform integrates a HELICS-based multi-federate architecture with a swing equation-based dynamic frequency model to simulate interactions among wind turbines, ESS, and distribution networks. Case studies on an IEEE 13-bus distribution system show that ESS reduces RoCoF and frequency deviation during sudden wind power fluctuations, with frequency deviation reduced by up to 68% depending on ESS capacity. The platform supports practical decision-making for ESS capacity planning in distribution systems.

YOLOv11-Pose와 FaceNet 기반 다중 인원 자동 출석 시스템 Multi-Person Automatic Attendance System Based on YOLOv11-Pose and FaceNet

https://doi.org/10.5370/KIEE.2026.75.4.955

최예진(Ye-Jin Choi) ; 유태현(Tae-Hyun Ryu) ; 정인영(In-Yeong Jung) ; 황영배(Youngbae Hwang)

This paper proposes a real-time automatic attendance system that combines pose estimation and face recognition to operate without any manual input. The system uses the YOLOv11-Pose model to detect hand-raising gestures, which serve as an explicit signal of attendance intent. Only individuals detected with raised hands are passed to the face recognition module, thereby reducing unnecessary computation. The pose estimation is performed based on the relative position of the wrist and shoulder keypoints, allowing robust detection even in multi-person classroom environments. For identity verification, a FaceNet-based embedding model is fine-tuned using Supervised Contrastive Learning (SupCon) to better reflect East Asian facial characteristics. This approach improves intra-class compactness and inter-class separability in the embedding space. Experimental evaluations confirm that the proposed system achieves high precision in gesture detection and improved accuracy in face recognition, showing practical applicability for automated attendance tracking in real-world educational settings.

실시간 다중 카메라 파노라마 영상 정합을 통한 객체 검출 및 추적 시스템 Real-Time Multi-Camera Panorama Image Registration-Based Object Detection and Tracking System

https://doi.org/10.5370/KIEE.2026.75.4.963

최예진(Ye-Jin Choi) ; 김수민(Su-Min Kim) ; 황영배(Youngbae Hwang)

Panoramic image stitching integrates multiple images into a wide field-of-view representation and is widely used in fields such as autonomous driving and surveillance. As the need for reliable object detection and tracking across wide scenes increases, multi-camera systems have become common; however, independently detecting and tracking objects on each camera and merging the results introduces structural limitations. To address this issue, this study proposes a system that stitches multi-camera inputs into a panoramic image and performs object processing within a single unified view. The system employs cylindrical projection, SuperPoint feature extraction, BruteForce matching, RANSAC-based outlier removal, affine transformation, and alpha blending to generate a seamless panoramic image. Object detection is conducted using TensorRT-optimized YOLOv5, and tracking is performed with DeepSORT. Experiments on the NVIDIA Jetson AGX Orin demonstrate accurate object detection and stable tracking performance within the panoramic environment.

통합 열관리 시스템용 전동식 워터 펌프의 물리 기반 동적 해석 모델 개발 및 실험적 성능 검증 Development of a physics-based dynamic analysis model and experimental performance verification of an electric water pump for an integarated thermal management system

https://doi.org/10.5370/KIEE.2026.75.4.971

배성일(Sungil Bae) ; 조태호(Taeho Jo) ; 한재영(Jaeyoung Han) ; 박현종(Hyun-Jong Park)

Accelerating automotive electrification underscores the need for integrated thermal management to ensure energy efficiency. Specifically, precise control of the Electric Water Pump (EWP) is essential. However, existing industrial models rely on input/output data, lacking physical causality and prediction accuracy. Therefore, this paper proposes a high-precision analytical EWP model based on physical theory. The model combines velocity triangle theory and fluid dynamic loss models to formulate nonlinear pump head characteristics. It integrates these with a BLDC motor average voltage model to reflect interconnected electro-mechanical-fluidic characteristics. For validation, a KS-compliant test rig was built, collecting data at 4 000?6 000 RPM for parameter identification. The simulation results demonstrated high accuracy with an R2 of 0.9964 and a maximum error under 3 %. This model provides a key foundation for developing thermal management algorithms and Model Predictive Control applications.

축방향 자속 전동기의 회전자 코어 제조 공정에 따른 전자기 성능 분석 Electromagnetic Performance Analysis of Axial Flux Motors According to Rotor Core Manufacturing Processes

https://doi.org/10.5370/KIEE.2026.75.4.977

홍민기(Min-Ki Hong) ; 이주(Ju-Lee) ; 양인준(In-Jun Yang)

The electromagnetic performance of axial flux permanent magnet (AFPM) machines with different rotor core configurations was investigated. Four rotor core types, including soft magnetic composite (SMC), solid carbon steel (S45C), axially stacked electrical steel laminations, and a wound electrical steel core, were analyzed under identical motor specifications and operating conditions using finite element analysis. The results indicated that the average torque and output power were similar across all configurations, while rotor losses and efficiency varied depending on the core material and structure. The SMC rotor core exhibited relatively low losses and high efficiency, whereas the S45C rotor core showed higher losses mainly due to eddy currents. Among the electrical steel-based structures, the axially stacked lamination core showed relatively low losses, while the wound core demonstrated favorable magnetic flux characteristics.