๊น์ฐจ๋
(Chani Kim)
1iD
์ค์์ง
(Sujin Seol)
1iD
๊น๋ณ์ฐ
(Byeong-Woo Kim)
โ iD
-
(Dept. of Electrical, Electronic Engineering, University of Ulsan, Republic of Korea.
E-mail : cksldla@ulsan.ac.kr, tjftnwls00@ulsan.ac.kr)
Copyright ยฉ The Korea Institute for Structural Maintenance and Inspection
Key words
Lithium-ion Battery, SOH estimation, Deep learning, Multi-modal
1. ์ ๋ก
์ต๊ทผ ๋ฆฌํฌ์ด์จ ๋ฐฐํฐ๋ฆฌ๋ ๋์ ์๋์ง ๋ฐ๋, ๊ธด ์๋ช
, ์นํ๊ฒฝ์ฑ ๋ฑ์ ์ด์ ์ผ๋ก ์ธํด ์ ๊ธฐ์ฐจ ์ฐ์
์์์ ์์๊ฐ ๊พธ์คํ ์ฆ๊ฐํ๊ณ ์๋ค[1โ2]. ์ด์
๋ฐ๋ผ ์ดํญ์ฃผ, ํ์ฌ ๋ฑ์ ์์ ๋ฌธ์ ์ ๋ํ ์ค์์ฑ์ด ๋๋๋๊ณ ์๋ค. ์ด๋ฌํ ์์ ๋ฌธ์ ๋ฅผ ํด๊ฒฐํ๊ธฐ ์ํ์ฌ ๋ฐฐํฐ๋ฆฌ์ ์ํ ๋ชจ๋ํฐ๋ง ๋ฐ ์ ์ ํ ๊ต์ฒด ์์
ํ๋จ์ ๋ฐฐํฐ๋ฆฌ ์ฌ์ฉ์ ํ์์ ์ด๋ฉฐ, ์ด๋ ๋ฐฐํฐ๋ฆฌ์ ์ฃผ์ ์ํ ์งํ ์ค ํ๋์ธ SOH(State of Health)๋ฅผ ํตํด ์ด๋ฃจ์ด์ง๋ค[3]. SOH๋ ์ ๊ธฐ์ฐจ์ ์ฃผํ ๊ฐ๋ฅ๊ฑฐ๋ฆฌ, ์ถฉ์ ํจ์จ, ๊ฐ์ ์ฑ๋ฅ ๋ฑ๊ณผ ๋ฐ์ ํ๊ฒ ์ฐ๊ด๋์ด ์์ด ์ ํํ ์ถ์ ์ด ์ค์ํ๋ค[4]. ์ฌ์ฉ์์ ๋ฐ๋ผ ๋ณํ ์์์ด ๋ฌ๋ผ ์ ํํ ์ถ์ ์ ์ด๋ ค์์ด ์์ผ๋ฉฐ, ์ด๋ฌํ ์ถ์ ์ค์ฐจ๋ ์ฃผํ ์ฌ์ดํด์ ๋์ ์ ๋ฐ๋ผ ์ํ ๋ชจ๋ํฐ๋ง ๋ฐ ์ ์ด์ ํฐ ์ํฅ์
๋ฏธ์น๋ค[5]. ๋ฐ๋ผ์ ์ฅ๊ธฐ์ ์ธ ์ ๋ขฐ์ฑ๊ณผ ์์ ์ฑ ํ๋ณด๋ฅผ ์ํด์๋ ๋ณด๋ค ์ ๋ฐํ๊ณ ๊ฒฌ๊ณ ํ ์ถ์ ๋ชจ๋ธ์ด ์๊ตฌ๋๋ฉฐ, ์ด๋ ์ ๊ธฐ์ฐจ ์ฐ์
์ ๋ฐ์ ๊ฑธ์ณ ๋งค์ฐ ์ค์ํ๋ค[6-7].
๋ฐฐํฐ๋ฆฌ์ ์ํ ์ถ์ ์ ์ํ ๋ฐฉ๋ฒ์ ํฌ๊ฒ ๋ชจ๋ธ ๊ธฐ๋ฐ ์ ๊ทผ ๋ฐฉ์๊ณผ ๋ฐ์ดํฐ ๊ธฐ๋ฐ ์ ๊ทผ ๋ฐฉ์์ผ๋ก ๊ตฌ๋ถ๋๋ค[8]. ๋ชจ๋ธ ๊ธฐ๋ฐ ์ ๊ทผ ๋ฐฉ์์ ๋ฐฐํฐ๋ฆฌ์ ๋ฑ๊ฐํ๋ก ๋ชจ๋ธ, ์นผ๋ง ํํฐ ๋ฑ ์ํ์ ์์์ ํ์ฉํ์ฌ ์์์ ์ฃผ์ ํ๋ผ๋ฏธํฐ ๋ณํ๋ฅผ ํตํด SOH๋ฅผ ์ถ์ ํ๋ ๋ฐฉ๋ฒ์ด๋ค[9]. ๊ทธ๋ฌ๋ ์ด์ ๊ฐ์ ๋ฐฉ์์ ์ ๋ฐํ ์ํ์ ๋ชจ๋ธ๋ง์ด ์๊ตฌ๋๋ฉฐ, ์ค์ ์ด์ฉ ํ๊ฒฝ์ ๋ฐ๋ผ ๊ฐ๋ณ๋๋ ์์๋ฅผ ๋ชจ๋ ๋ฐ์ํ๊ธฐ ์ด๋ ค์ฐ๋ฏ๋ก ์ถ์ ์ ํ๋๊ฐ ์ ํ๋๋
ํ๊ณ๋ฅผ ์ง๋๋ค[10]. ์ด์ ๋น๊ตํ์ฌ, ๋ฐ์ดํฐ ๊ธฐ๋ฐ ์ ๊ทผ ๋ฐฉ์์ ์ผ์๋ฅผ ํตํด ์์ง๋ ๋ฐ์ดํฐ๋ฅผ ๋ฐํ์ผ๋ก ํต๊ณ์ ๋ถ์, ์ธ๊ณต์ง๋ฅ ๊ธฐ๋ฐ ์๊ณ ๋ฆฌ์ฆ์ ํตํด SOH๋ฅผ ์ถ์ ํ๋ค.
ํด๋น ์ ๊ทผ ๋ฐฉ์์ ๋ฐฐํฐ๋ฆฌ์ ๋ํ ์ ๋ฌธ์ ์ธ ์ง์ ์์ด๋ ๋ฐฐํฐ๋ฆฌ์ SOH ์ถ์ ์ด ๊ฐ๋ฅํ๋ฉฐ, ๋ณต์กํ๊ณ ๋น์ ํ์ ์ธ ์ค์ ๋ฐฐํฐ๋ฆฌ ์์คํ
์ ๋ถํ์ค์ฑ ๋ฐ ๋ค์์ฑ์
ํจ๊ณผ์ ์ผ๋ก ๋ฐ์ํ ์ ์๋ค[11].
๋ฐ์ดํฐ ๊ธฐ๋ฐ ์ ๊ทผ ๋ฐฉ์์๋ ํฌ๊ฒ ๋จธ์ ๋ฌ๋ ๊ธฐ๋ฒ๊ณผ ๋ฅ๋ฌ๋ ๊ธฐ๋ฒ์ผ๋ก ๋๋๋ค. ๋ฅ๋ฌ๋ ๊ธฐ๋ฒ์ ๋จธ์ ๋ฌ๋ ๊ธฐ๋ฒ๊ณผ ๋น๊ตํ์ฌ ๋ณต์กํ ํจํด์ ์ธ์๊ณผ ๋น์ ํ์ ์ธ ๋ชจ๋ธ๋ง์
๊ฐ์ ์ ๊ฐ์ง๋ฏ๋ก ์ต๊ทผ ์ฐ๊ตฌ์ ๋ง์ด ํ์ฉ๋๊ณ ์๋ค. Lijun et al.[12]์ ์๊ณ์ด ํ์ต์ ์ ํฉํ LSTM๋ฅผ ๊ธฐ๋ฐ์ผ๋ก, Park et al.[13]๋ ์๊ณ์ด ๋ฐ์ดํฐ๋ฅผ ์ด๋ฏธ์ง๋ก ๋ณํํ์ฌ CNN์ ๊ธฐ๋ฐ์ผ๋ก SOH๋ฅผ ์ถ์ ํ์๋ค. ๋ํ, ๋จ์ผ ๋ชจ๋ธ์ ํตํด ์ถ์ถํ๊ธฐ ์ด๋ ค์ด ํน์ง์ ๋ฐ์ํ๊ธฐ ์ํ์ฌ ๋ค์ํ
์ตํฉ ๋ชจ๋ธ์ด ์ ์๋์๋ค. Anurag et al.[14]์ RNN์ ํตํด ์๊ฐ์ ์ธ ํน์ฑ์ ํ์ตํ ํ CNN์ ํตํด ๊ณต๊ฐ์ ์ธ ํน์ฑ์ ํ์ตํ ์ถ์ ๋ชจ๋ธ์ ์ ์ํ์๊ณ , Sridharan et al.[15]๋ LSTM, MLP ๊ฐ ๋ชจ๋ธ์ ์ฅ์ ์ ์ตํฉํ ์ถ์ ๋ชจ๋ธ์ ์ ์ํ์๋ค. ์ด๋ฌํ ๋ชจ๋ธ๋ค์ ๋จ์ผ ๋ชจ๋ธ๊ณผ ๋น๊ตํ์ฌ ๋ค์ํ ๋ฐฉ๋ฒ์ผ๋ก ๋ฐ์ดํฐ์ ํน์ฑ์ ์ถ์ถํ
์ ์๋ค๋ ์ฅ์ ์ ์ง๋๋ค. ํ์ง๋ง ๋ฐฐํฐ๋ฆฌ์ ๊ฑด๊ฐ ์ํ๋ ๋ณตํฉ์ ์ธ ๋ฌผ๋ฆฌ๋์ ๋ฐ๋ผ ๊ฒฐ์ ๋์ด, ํ๋์ ์ผ์ ๋ฐ์ดํฐ๋ฅผ ํ์ฉํ SOH ์ถ์ ์ ์ ํ๋์ ํ๊ณ๊ฐ
์กด์ฌํ๋ค. ๋ฐ๋ผ์ ๋ฐฐํฐ๋ฆฌ์ ์ํ๋ฅผ ๋ํ๋ด๋ ๋ค์ํ ์ผ์ ๋ฐ์ดํฐ ์ ๋ณด๋ฅผ ํ์ฉํ ํ์์ฑ์ด ๋๋๋๊ณ ์๋ค.
๋ณธ ๋
ผ๋ฌธ์ ๋ฐฐํฐ๋ฆฌ์ ๋ค์ํ ํํ์ ์ผ์ ๋ฐ์ดํฐ๋ฅผ ํจ๊ณผ์ ์ผ๋ก ๋ฐ์ํ๋ Multi-modal Fusion(MMF) ๋ชจ๋ธ์ ์ ์ํ์๋ค. ์ ์ํ๋ MMF๋
๋ฐฐํฐ๋ฆฌ์ ์ํ ์ ๋ณด๋ฅผ ์ง๋ ๋ค์ํ ์ผ์ ๋ฐ์ดํฐ ์ ํ์ ์ ํฉํ MLP, LSTM, CNN์ ์ตํฉํ์ฌ ๋ฐ์ดํฐ์ ํน์ฑ์ ์ถ์ถํ์ฌ SOH๋ฅผ ์ถ์ ํ์๋ค. ๋ค์ํ
ํํ์ ์ผ์ ๋ฐ์ดํฐ๋ฅผ ์ฌ์ฉํจ์ ๋ฐ๋ผ ๋ฐฐํฐ๋ฆฌ์ ํน์ฑ์ ์ ํํ๊ฒ ๋ฐ์ํ SOH ์ถ์ ์ด ๊ฐ๋ฅํ๋ค. ์ด๋ฅผ ๊ฒ์ฆํ๊ธฐ ์ํด MIT aging battery ๋ฐ์ดํฐ์
์
์คํ์ ์ฌ์ฉํ์์ผ๋ฉฐ, ์คํ ๊ฒฐ๊ณผ๋ฅผ ํตํด SOH ์ถ์ ์ ๋ํด ์ ์ํ ๋ชจ๋ธ์ ์ ํ๋๋ฅผ ๊ฒ์ฆํ์๋ค[16].
๋ณธ ๋
ผ๋ฌธ์ ์ฃผ์ ๊ธฐ์ฌ์ ์ ๋ค์๊ณผ ๊ฐ๋ค.
1) ๋ฐฐํฐ๋ฆฌ์ ์ํ ์ ๋ณด๋ฅผ ์ง๋ ๋ค์ํ ์ผ์ ๋ฐ์ดํฐ๋ฅผ ํ์ตํ๊ธฐ ์ํด MLP, LSTM, CNN์ ๋ณ๋ ฌ์ ์ผ๋ก ์ตํฉํ MMF ๋ชจ๋ธ์ ์ ์ํ์๋ค.
2) ํน์ ๋ฐ์ดํฐ ์ ํ์๋ง ์ต์ ํ๋ ๊ธฐ์กด ๋จ์ผ ๋ชจ๋ธ๋ค๊ณผ ๋น๊ตํ์ฌ ๋ณต์กํ ๋ฐฐํฐ๋ฆฌ ์ดํ ํจํด์ ๋ฐ๋ฅธ ์ํ ๋ณํ๋ฅผ ์ถฉ๋ถํ ๋ฐ์ํ์๋ค.
3) MIT aging ๋ฐ์ดํฐ์
์ ์ฌ์ฉํ์ฌ ๋จ์ผ ๋ฐ ์ตํฉ ๋ชจ๋ธ๊ณผ ๋น๊ต๋ฅผ ํตํด ์ ๋์ ์ฑ๋ฅ ๊ฐ์ ์ ์คํ์ ์ผ๋ก ๊ฒ์ฆํ์๋ค.
2. Feature Extraction
๋ฐฐํฐ๋ฆฌ ์ผ์ ๋ฐ์ดํฐ ๋ถ์์ ํตํด SOH ์ถ์ ์ ์ํฅ์ ๋ฏธ์น๋ ์ฃผ์ ํน์ฑ์ ๋์ถํ์๋ค. ๋ฐฐํฐ๋ฆฌ์ ์ดํ ๋ฐ ๋
ธํ ๊ฒฝํฅ์ SOH์ ํฐ ์ํฅ์ ์ฃผ๋ฉฐ, ์ ์
๋ฐ ์จ๋ ๋ฐ์ดํฐ์ ๋๋ ทํ๊ฒ ๋ฐ์๋จ์ ํ์ธํ์๋ค. ์ด์ ์ ์ ๋ฐ ์จ๋ ์ผ์ ๋ฐ์ดํฐ๋ฅผ ๊ธฐ๋ฐ์ผ๋ก Health Indicator(HI)๋ก ์ ์ ํ์๋ค. ์ ์ ๋
HI๋ ๋ฐฐํฐ๋ฆฌ์ ์ฆ๋ถ ์ฉ๋์ ํผํฌ๊ฐ ๋ฐ ํด๋น ์ ์๊ฐ, ํน์ ์ ์์์์ ๋ฐฉ์ ์ฉ๋, ๋ฐฉ์ ์ ์ ๊ณก์ , ์ถฉยท๋ฐฉ์ ์จ๋ heatmap์ด๋ค. ์ ์ ํ HI์
ํ์ต์ ์ํด ๊ฐ ๋ฐ์ดํฐ ํน์ฑ์ ์ ํฉํ ์๊ณ ๋ฆฌ์ฆ์ ๊ตฌ์ฑํ์๋ค.
2.1 Point wise HI with MLP
๋ฐฐํฐ๋ฆฌ์ ์ฆ๋ถ ์ฉ๋์ ์ ๊ธฐํํ ๋ฐ์์ ํ์ฑ๋๋ฅผ ๋ํ๋ด๋ ์ฃผ์ ํน์ฑ ์งํ๋ก, ๋ฐฐํฐ๋ฆฌ์ ์ดํ ์ํ๋ฅผ ๋ฐ์ํ๋ค. ๋ฐฐํฐ๋ฆฌ๊ฐ ์ฌ์ฉ๋จ์ ๋ฐ๋ผ ๋์ผํ ์ ์ ๊ตฌ๊ฐ์์
๋ฐฉ์ถ ๊ฐ๋ฅํ ์ ํ๋์ด ์ ์ฐจ ๊ฐ์ํ๋ ๊ฒฝํฅ์ ๋ณด์ด๋ฉฐ, ๊ทธ๋ฆผ 1๊ณผ ๊ฐ์ด ์ฆ๋ถ ์ฉ๋ ๊ณก์ ์ ํผํฌ๊ฐ ๋ํ ์ ์ง์ ์ผ๋ก ๊ฐ์ํ๊ฒ ๋๋ค. ๋ํ, ์ฌ์ฉ๋์ด ์ฆ๊ฐํ ์๋ก ๋ฎ์ ์ ์ ์์ญ์์ ์ ๊ธฐํํ ๋ฐ์์ด ๋ณด๋ค ํ๋ฐํด์ง๋ ํน์ฑ์ด
๋ํ๋๋ฉฐ, ์ด๋ ๋ฐฐํฐ๋ฆฌ์ ์ฌ์ฉ ์ ์์ด ์ ์ฐจ ๊ฐ์ํ๊ณ ์์์ ์๋ฏธํ๋ค. ์ด๋ฌํ ํน์ฑ์ SOH ์ถ์ ์ ์ํ ๋ค์ํ ์ฐ๊ตฌ์์ ๋๋ฆฌ ํ์ฉ๋๊ณ ์์ผ๋ฉฐ[16], ์ (1)๊ณผ ๊ฐ๋ค. ์ฌ๊ธฐ์ IC๋ ์ฆ๋ถ ์ฉ๋, t๋ ์๊ฐ, Q๋ ์ฉ๋, V๋ ์ ์์ ์๋ฏธํ๋ค.
๊ทธ๋ฆผ 1. ์ ์์ ๋ฐ๋ฅธ ์ฆ๋ถ ์ฉ๋ ๊ณก์
Fig. 1. Incremental capacitance curve according to voltage
๋ฐ๋ผ์, ๋ณธ ์ฐ๊ตฌ์์๋ ๋ฐฐํฐ๋ฆฌ์ SOH์ ๋ฐ๋ฅธ ์ดํ ์ํ ์ ๋ณด๋ฅผ ๋ฐ์ํ๋ ์งํ๋ก ์ฆ๋ถ ์ฉ๋ ๊ณก์ ์ ํผํฌ๊ฐ ๋ฐ ํด๋น ํผํฌ ์ ์์ HI๋ก ์ ์ ํ์๋ค.
๋ฐฐํฐ๋ฆฌ์ ๋ฐฉ์ ์ฉ๋์ ์ฌ์ฉ ๊ฐ๋ฅํ ์๋์ง์ ์ด๋์ ๋ํ๋ด๋ ์งํ๋ก, ๋ฐฐํฐ๋ฆฌ์ ๋
ธํ ์ํ๋ฅผ ๋ฐ์ํ๋ค. ์ผ๋ฐ์ ์ผ๋ก ์ฌ์ฉ ์ฃผ๊ธฐ๊ฐ ์ฆ๊ฐํจ์ ๋ฐ๋ผ ๋ฐฐํฐ๋ฆฌ ๋ด๋ถ์
ํ์ฑ ๋ฌผ์ง ์์ค์ด ๋ฐ์ํ๋ฉฐ, ์ด๋ก ์ธํด ๋ฐฐํฐ๋ฆฌ๊ฐ ๋ณด์ ํ ์ ์๋ ์ต๋ ์ฉ๋์ด ์ ์ง์ ์ผ๋ก ๊ฐ์ํ๊ฒ ๋๋ค. ๋ํ, ๋
ธํ๊ฐ ์งํ๋จ์ ๋ฐ๋ผ ๋ด๋ถ ์ ํญ์ด ์ฆ๊ฐํ๊ณ ,
์ด์ ๋ฐ๋ผ ๊ทธ๋ฆผ 2์ ๊ฐ์ด ์ ์ ๊ฐํ๊ฐ ๋ณด๋ค ๋น ๋ฅด๊ฒ ๋ฐ์ํ๋ ๊ฒฝํฅ์ ๋ณด์ธ๋ค. ๋ํ ์ค์ ๋ ์ต์ ๋ฐฉ์ ์ ์์ ๋๋ฌํ๋ ์์ ์ด ์๋น๊ฒจ์ง๋ฉฐ, ํน์ ์ ์ ๊ตฌ๊ฐ์์์ ๋ฐฉ์ ์ฉ๋์ด
๊ฐ์ํ๊ฒ ๋๋ค. ๋ณธ ์ฐ๊ตฌ์์๋ ์ด๋ฌํ ๋
ธํ ์ํ๋ฅผ ๋ฐ์ํ๊ธฐ ์ํ ์งํ๋ก์จ, ํน์ ์ ์(2.2V)์์์ ๋ฐฉ์ ์ฉ๋์ HI๋ก ์ ์ ํ์๋ค.
๊ทธ๋ฆผ 2. ์ ์์ ๋ฐ๋ฅธ ๋ฐฉ์ ์ฉ๋ ๊ณก์
Fig. 2. Discharge capacity curve according to voltage
Point wise HI์ ์ดํ ๋ฐ ๋
ธํ ํน์ฑ์ ํ์ตํ๊ธฐ ์ํด์ MLP๋ฅผ ์ ์ฉํ์๋ค. point wise HI๋ ๊ตฌ์กฐํ๋ ํน์ง ๋ฒกํฐ์ ํํ๋ก, ๋ฐฐํฐ๋ฆฌ์
์ฃผํ ์ฌ์ดํด์ ํน์ฑ ์งํ๋ฅผ ๋ํ๋ธ๋ค. ์ด๋ฌํ ๋ฐ์ดํฐ ํํ๋ ์๊ฐ์ ๏๊ณต๊ฐ์ ํน์ฑ์ ํฌํจํ์ง ์๊ธฐ ๋๋ฌธ์, ๊ฐ๋จํ๊ณ ํจ์จ์ ์ธ MLP๋ฅผ ์ฌ์ฉํ์ฌ ๊ฐ ํน์ฑ
๊ฐ์ ๋น์ ํ ๊ด๊ณ๋ฅผ ํจ๊ณผ์ ์ผ๋ก ํ์ตํ ์ ์๋ค. MLP๋ ๊ฐ์ฅ ๊ธฐ๋ณธ์ ์ธ ํํ์ ์ธ๊ณต ์ ๊ฒฝ๋ง์ผ๋ก, ์
๋ ฅ์ธต๊ณผ ํ๋ ์ด์์ ์๋์ธต, ๊ทธ๋ฆฌ๊ณ ์ถ๋ ฅ์ธต์ผ๋ก ๊ตฌ์ฑ๋๋ฉฐ,
์๋์ธต์ ๊น์ด๊ฐ ๊น์ด์ง์๋ก ๋ณด๋ค ๋ณต์กํ ๋น์ ํ ๊ด๊ณ๋ฅผ ํ์ตํ ์ ์๋ ํํ ๋ฅ๋ ฅ์ด ํฅ์๋๋ค. ๋ณธ ๋
ผ๋ฌธ์์๋ 3๊ฐ์ ์๋์ธต์ผ๋ก ๊ตฌ์ฑํ์์ผ๋ฉฐ, ์ฒซ ๋ฒ์งธ
์๋์ธต์ 128๊ฐ, ๋ ๋ฒ์งธ์ ์ธ ๋ฒ์งธ ์๋์ธต์ ๊ฐ๊ฐ 64๊ฐ, 32๊ฐ์ ๋
ธ๋๋ก ๊ตฌํํ์๋ค.
2.2 Sequence voltage HI with LSTM
๋ฐฐํฐ๋ฆฌ์ ๋ฐฉ์ ์ ์ ๊ณก์ ์ ๋ฐฉ์ ์์๋ถํฐ ์ข
๋ฃ ์์ ๊น์ง์ ์ ์ ๋ณํ๋ฅผ ์๊ณ์ด๋ก ๋ํ๋ด๋ฉฐ, ์ด๋ ๋ฐฐํฐ๋ฆฌ์ ๋ด๋ถ ์ํ ๋ฐ ์ดํ ์ ๋๋ฅผ ๋ฐ์ํ๋ ์ค์ํ
์งํ์ด๋ค. ๋ฐฐํฐ๋ฆฌ๊ฐ ๋
ธํ๋จ์ ๋ฐ๋ผ ๋์ผํ ๋ฐฉ์ ์กฐ๊ฑด ํ์์๋ ๋ฐฉ์ ์ ์์ ์กฐ๊ธฐ์ ๋๋ฌํ๋ ๊ฒฝํฅ์ด ๋ํ๋๋ฉฐ, ์ ๋ฐ์ ์ธ ๋ฐฉ์ ์๋ ๋ํ ์ฆ๊ฐํ๋ ์์์
๋ณด์ธ๋ค. ์ด๋ก ์ธํด ๋์ผํ ์๊ฐ ๊ฐ๊ฒฉ ๋ด์์ ์ ์ ๋ณํ๋์ด ์ปค์ง๋ ํน์ฑ์ด ๊ด์ฐฐ๋๋ฉฐ, ๊ทธ๋ฆผ 3๊ณผ ๊ฐ์ด ํน์ ์์ ํน์ ์ ์ ๊ตฌ๊ฐ์์์ ์ ์ ๊ณก์ ๊ธฐ์ธ๊ธฐ๊ฐ ๊ธ๊ฒฉํด์ง๋ ๊ฒฝํฅ์ ๋ณด์ธ๋ค. ์๊ฐ์ ๋ฐ๋ฅธ ์ ์ ๋ณํ์ ์์์ ๋ฐฐํฐ๋ฆฌ์ ์ดํ ๋ฐ ๋
ธํ ์ํ์
๋ฐ๋ผ ๋ฌ๋ผ์ง๋ฏ๋ก, ๋ณธ ์ฐ๊ตฌ์์๋ ์ด๋ฌํ ์๊ณ์ด์ ํน์ฑ์ ํจ๊ณผ์ ์ผ๋ก ๋ฐ์ํ ์ ์๋ ๋ฐฉ์ ์ ์ ๋ฐ์ดํฐ๋ฅผ HI๋ก ์ ์ ํ์๋ค.
๊ทธ๋ฆผ 3. ์๊ฐ์ ๋ฐ๋ฅธ ๋ฐฉ์ ์ ์ ๊ณก์
Fig. 3. Discharge voltage curve over time
๋ฐฉ์ ์ ์ ๊ณก์ ์ ๋ฐ์๋๋ ๋ฐฐํฐ๋ฆฌ ์ดํ ํน์ฑ์ ์๊ฐ์ ์์กด์ฑ์ ๊ฐํ๊ฒ ์ง๋๋ฏ๋ก, ๋ฐฉ์ ๊ณผ์ ์์ ์๊ฐ์ ๋ฐ๋ฅธ ์ ์ ๋ณํ๋ฅผ ํจ๊ณผ์ ์ผ๋ก ํ์ตํ๊ธฐ ์ํ์ฌ
LSTM ๋คํธ์ํฌ๋ฅผ ์ ์ฉํ์๋ค. ์ ์ ๋ฐ์ดํฐ๋ ์๊ฐ์ ํ๋ฆ์ ๋ฐ๋ผ ๊ทธ ํน์ฑ์ด ๋์ ์ผ๋ก ๋ณํํ๋ฏ๋ก, ์๊ณ์ด ์ ๋ณด๋ฅผ ์ฒ๋ฆฌํ ์ ์๋ ์ํ ์ ๊ฒฝ๋ง ๊ตฌ์กฐ๋ฅผ
ํตํด ์ด๋ฌํ ์๊ฐ์ ์์กด์ฑ์ ํ์ตํ๋ค. LSTM์ ์ํ ์ ๊ฒฝ๋ง์ ์ผ์ข
์ผ๋ก, ๊ทธ๋ฆผ 4๊ณผ ๊ฐ์ด ๊ตฌ์ฑ๋๋ฉฐ, ์ผ๋ฐ์ ์ธ RNN์ ๋นํด ๊ธด sequence๋ฅผ ํ์ตํ ๋ ๋ฐ์ํ ์ ์๋ gradient vanishing ๋ฐ gradient explosion
๋ฌธ์ ๋ฅผ ํจ๊ณผ์ ์ผ๋ก ์ํํ ์ ์๋ค. ์ด๋ฌํ ๊ตฌ์กฐ์ ํน์ฑ์ผ๋ก ์ธํด LSTM์ ๋ฐฐํฐ๋ฆฌ ์ ์๊ณผ ๊ฐ์ด ์๊ฐ์ ๋ฐ๋ผ ์ฐ์์ ์ผ๋ก ์ํ๊ฐ ๋ณํํ๋ ์๊ณ์ด ๋ฐ์ดํฐ๋ฅผ
์ฒ๋ฆฌํ๋ ๋ฐ ์ ํฉํ๋ค.
LSTM์ forget gate, input gate, output gate์ ๋ฉ์ปค๋์ฆ์ ํตํด ๊ณผ๊ฑฐ ์ ๋ณด๋ฅผ ์ ํ์ ์ผ๋ก ๊ธฐ์ตํ์ฌ ์ค์ํ ์๊ณ์ด ์ ๋ณด๋ฅผ
์ฅ๊ธฐ๊ฐ ์ ์งํ ์ ์๋ค. forget gate๋ ๊ณผ๊ฑฐ ์ ๋ณด๋ฅผ ์ผ๋ง๋ ๋ฐ์ ํ ์ง ๊ฒฐ์ ํ๋ฉฐ, input gate๋ ํ์์ ์ ์ ๋ณด๋ฅผ ์ผ๋ง๋ ๋ฐ์ํ ์ง ๊ฒฐ์ ํ๋ค.
๋ ์ ๋ณด๋ฅผ ํตํด ํ์ฌ ์
์ํ๋ฅผ ๋ํ๋ด๋ cell state์ ๋ํ๋ด๋ฉฐ, output gate๋ cell state์์ ์ด๋ค ์ ๋ณด๋ฅผ ์ถ๋ ฅํ ์ง๋ฅผ ๊ฒฐ์ ํ๋ค.
๊ด๋ จ ์์์ ์ (2)~(6)๊ณผ ๊ฐ๋ค.
์ฌ๊ธฐ์ $h_{t-1}$๋ ์ด์ ์์ ์ ์ถ๋ ฅ, $x_{t}$๋ ํ์ฌ ์์ ์ ์
๋ ฅ, ์ต๊ทผ ์
์ํ $c_{t-1}$๋ ์ต๊ทผ ์
์ํ๋ฅผ ๋ํ๋ด๋ฉฐ, $h_{t}$๋
ํ์ฌ ์์ ์ ์ถ๋ ฅ์ ๋ํ๋ธ๋ค. ๋ณธ ๋
ผ๋ฌธ์์๋ 64๊ฐ์ ๋
ธ๋๋ฅผ ๊ฐ์ง๋ 2๊ฐ์ ์๋์ธต์ผ๋ก LSTM ๋คํธ์ํฌ๋ฅผ ๊ตฌ์ฑํ์๋ค.
๊ทธ๋ฆผ 4. LSTM ๊ตฌ์กฐ
Fig. 4. LSTM structure
2.3 Heatmap HI with CNN
๋ฐฐํฐ๋ฆฌ์ ์จ๋๋ ์ดํ ์ํ๋ฅผ ๋ฐ์ํ๋ ํต์ฌ์ ์ธ ์งํ๋ก, SOH ์ถ์ ์ ์์ด ์ค์ํ ์ ๋ณด๋ฅผ ์ ๊ณตํ๋ค. ์ถฉยท๋ฐฉ์ ๊ณผ์ ์์ ๋ฐ์ํ๋ ๋ฐ์ด ํ์์ ๋ด๋ถ ์ ํญ
์ฆ๊ฐ๋ฅผ ํฌํจํ ๋ค์ํ ์ดํ ๋ฉ์ปค๋์ฆ๊ณผ ๋ฐ์ ํ ๊ด๋ จ์ด ์๋ค. ํนํ ๊ณ ์ ์ถฉยท๋ฐฉ์ ์กฐ๊ฑด์์๋ ๋ฐฐํฐ๋ฆฌ ๋ด๋ถ ์จ๋๊ฐ ๊ธ๊ฒฉํ ์์นํ๊ฑฐ๋ ๋น์ ์์ ์ธ ์จ๋ ๋ถํฌ๋ฅผ
๋ํ๋ด๋ ๊ฒฝํฅ์ด ์๋ค. ์ด๋ฌํ ์จ๋ ๋ณํ๋ SOH ์ ํ์ ์ ํ ์งํ๋ก ํด์๋ ์ ์์ผ๋ฉฐ, ์ ์ ๋ฐ ์ฉ๋๊ณผ ๊ฐ์ ์ ๊ธฐ์ ํน์ฑ๊ณผ ํจ๊ป SOH ์์ธก์ ์ํ
์ ์๋ฏธํ ํน์ฑ์ผ๋ก ํ์ฉ๋ ์ ์๋ค. ๋ณธ ์ฐ๊ตฌ์์๋ ์๊ฐ์ ๋ฐ๋ฅธ ์จ๋ ๋ณํ๋ฅผ heatmap ํํ๋ก ๋ณํํ์์ผ๋ฉฐ, ์ด๋ ๊ทธ๋ฆผ 5์ ๋์ํ์๋ค. ๋ฐฐํฐ๋ฆฌ์ ๋ณต์กํ ์ดํ ์์์ heatmap ๊ธฐ๋ฐ์ ์๊ฐ์ ํจํด์ผ๋ก ์ฌ๊ตฌ์ฑํจ์ผ๋ก์จ, ๋ชจ๋ธ์ด ์ดํ์ ๊ณต๊ฐ์ ํน์ฑ์ ํ์ตํ ์ ์๋ค.
์จ๋ ๋ณํ๊ฐ ์๊ฐ์ ์ผ๋ก ๊ตฌ์ฑ๋จ์ ๋ฐ๋ผ, ํด๋น ๋ฐ์ดํฐ๋ ์ฃผ๋ณ ๊ณต๊ฐ ์ ๋ณด์์ ์๊ด๊ด๊ณ๋ฅผ ํฌํจํ๋ค. ์ด๋ CNN์ด ์
๋ ฅ ๋ฐ์ดํฐ๋ก๋ถํฐ ๊ณต๊ฐ์ ํจํด ๋ฐ ๋ณํ
ํน์ฑ์ ํจ๊ณผ์ ์ผ๋ก ์ถ์ถํ๋ ๋ฐ ์ ํฉํ ๊ตฌ์กฐ์์ ์๋ฏธํ๋ค. CNN์ ๋ค๋ฅธ ์๊ณ ๋ฆฌ์ฆ์ ๋นํด ๋ณต์กํ ์ดํ ์์์ ๋ฐ์ํ ๋ฐ์ดํฐ๋ก๋ถํฐ ๊ณ ์ฐจ์ ํน์ง์ ์ถ์ถํ๋
๋ฐ ์ ๋ฆฌํ๋ค๋ ์ฅ์ ์ ๊ฐ์ง๋ค. CNN์ ๊ทธ๋ฆผ 6์ ๊ฐ์ด ์ผ๋ฐ์ ์ผ๋ก ํฉ์ฑ๊ณฑ, ํ๋ง์ธต, ๊ทธ๋ฆฌ๊ณ ์์ ์ฐ๊ฒฐ์ธต์ผ๋ก ๊ตฌ์ฑ๋๋ค. ํฉ์ฑ๊ณฑ ์ธต์ ์
๋ ฅ ๋ฐ์ดํฐ๋ก๋ถํฐ ์ ์ฌ์ ํน์ฑ์ ์ถ์ถํ๊ธฐ ์ํ ๋ค์์ ํํฐ๋ก ๊ตฌ์ฑ๋๋ฉฐ,
์ด์ด์ง๋ ํ๋ง ๊ณผ์ ์์๋ ํน์ฑ ๋งต์ ์ฐจ์์ ์ถ์ํ์ฌ ์ฐ์ฐ ํจ์จ์ ์ฆ๋์ํค๊ณ ๊ณผ์ ํฉ์ ๋ฐฉ์งํ๋ค. ์ต์ข
์ ์ผ๋ก ์์ ์ฐ๊ฒฐ์ธต์ ์์ ํฉ์ฑ๊ณฑ ๋ฐ ํ๋ง ์ธต์์
์ถ์ถ๋ ๊ณ ์ฐจ์ ํน์ฑ์ ๊ธฐ๋ฐ์ผ๋ก ํ๊ท ํน์ ๋ถ๋ฅ๋ฅผ ์ํํ๋ค. ๊ด๋ จ ์์์ ์ (7)~(8)๊ณผ ๊ฐ๋ค.
์ฌ๊ธฐ์ $I_{m,\: n}$๋ ์
๋ ฅ ์ด๋ฏธ์ง์ ํฝ์
๊ฐ, $K_{i,\: j}$์ ์๋ฏธํ๋ฉฐ, $Y_{i,\: j}$๋ ์ถ๋ ฅ ํน์ฑ ๋งต์ ํฝ์
๊ฐ์ ๋ํ๋ธ๋ค.
๋ณธ ๋
ผ๋ฌธ์์๋ 2๊ฐ์ ํฉ์ฑ๊ณฑ ์ธต ๋ฐ 2๊ฐ์ ํ๋ง ์ธต์ผ๋ก ๊ตฌํํ์๋ค.
3. Multi-modal fusion model
3.1 Multi-modal fusion model
๋ณธ ์ฐ๊ตฌ์์๋ ๋ฆฌํฌ์ด์จ ๋ฐฐํฐ๋ฆฌ์ SOH๋ฅผ ๋ณด๋ค ์ ๋ฐํ๊ฒ ์์ธกํ๊ธฐ ์ํ์ฌ, ์๋ก ๋ค๋ฅธ ๋ฐ์ดํฐ ์ ํ์ ๋ณ๋ ฌ์ ์ผ๋ก ์ฒ๋ฆฌํ๋ MMF ๋ชจ๋ธ์ ์ ์ํ๋ค. ์ ์๋
๋ชจ๋ธ์ point wise, sequence, heatmap์ ์ธ ๊ฐ์ง ๋ฐ์ดํฐ ์ ํ์ ๊ฐ๊ฐ ์ฒ๋ฆฌํ๊ธฐ ์ํด MLP, LSTM, CNN์ ์ธ ๊ฐ์ง ์ํคํ
์ฒ๋ฅผ
๋ณ๋ ฌ ๊ตฌ์กฐ๋ก ๊ตฌ์ฑํ์๋ค. MMF ๋ชจ๋ธ์ ์ ์ฒด ๊ตฌ์กฐ๋ ๊ทธ๋ฆผ 7์ ์ ์ํ์๋ค. MLP๋ ์ฆ๋ถ ์ฉ๋ ๊ณก์ ์ ํผํฌ๊ฐ, ํผํฌ ์ ์, ํน์ ์ ์(2.2V)์์์ ๋ฐฉ์ ์ฉ๋๊ณผ ๊ฐ์ point wise๋ฅผ ์
๋ ฅ์ผ๋ก ๋ฐ์ ์ ํํ๋
ํน์ฑ์ ์ถ์ถํ๋ค. LSTM์ ๋ฐฉ์ ์ ์์ ์๊ณ์ด ๋ฐ์ดํฐ๋ฅผ ๊ธฐ๋ฐ์ผ๋ก ์๊ฐ์ ์ฐ์์ฑ๊ณผ ์ดํ์ ๋ฐ๋ฅธ ๋ณํ ์์์ ํ์ตํ๋ฉฐ, CNN์ ์๊ฐ์ ๋ฐ๋ฅธ ์จ๋ ๋ถํฌ
์ ๋ณด๋ฅผ heatmap ์ด๋ฏธ์ง ํํ๋ก ์
๋ ฅ๋ฐ์ ๊ณต๊ฐ์ ํจํด๊ณผ ์๊ฐ์ ์ธ ์ดํ ํน์ฑ์ ์ถ์ถํ๋ค. ์ด์ฒ๋ผ ์ธ ๊ฐ์ ๋จ์ผ ๋ชจ๋ธ๋ก๋ถํฐ ์ถ์ถ๋ ํน์ง๋ค์ ํตํฉ๋์ด,
์ดํ ๋ ๊ฐ์ ์์ ์ฐ๊ฒฐ ๊ณ์ธต์ผ๋ก ๊ตฌ์ฑ๋ fusion head๋ฅผ ํตํด ์ต์ข
SOH ๊ฐ์ ์ถ๋ ฅํ๋ค.
์ ์๋ MMF ๋ชจ๋ธ ๊ตฌ์กฐ๋ ์๋ก ๋ค๋ฅธ ์ ํ์ ๋ฐ์ดํฐ๊ฐ ๋ดํฌ ํ๊ณ ์๋ ์ ๋ณด๋ฅผ ํจ๊ณผ์ ์ผ๋ก ๋ฐ์ํ ์ ์๋ค๋ ์ ์์ ๊ธฐ์กด ๋จ์ผ ๋ฐ์ดํฐ ๊ธฐ๋ฐ ๋ชจ๋ธ ๋๋น
์ฐ์ํ ์์ธก ์ฑ๋ฅ์ ๋ํ๋ธ๋ค. ํนํ, point wise ๋ฐ์ดํฐ๋ก๋ถํฐ ์ ๋์ ์ธ ์งํ๋ฅผ, sequence ๋ฐ์ดํฐ๋ก๋ถํฐ ์๊ณ์ด ํน์ฑ์, heatmap
๋ฐ์ดํฐ๋ก๋ถํฐ ์๊ฐ์ ์ธ ์ดํ ํจํด์ ๊ฐ๊ฐ ์ถ์ถํ๊ณ ์ด๋ฅผ ํตํฉํจ์ผ๋ก์จ, SOH ์์ธก์ ์ ํ๋ ๋ฐ ๊ฐ๊ฑด์ฑ์ ๋์์ ํฅ์์ํฌ ์ ์๋ค. ๋ํ, ๊ฐ ๋จ์ผ ๋ชจ๋ธ์
์ํธ ๋ณด์์ ์ธ ์ญํ ์ ์ํํ๋ฏ๋ก, ์ผ์ ๋ฐ์ดํฐ์ ๊ฒฐ์ธก์ด๋ ๋
ธ์ด์ฆ๊ฐ ์กด์ฌํ๋ ์ค์ ์ฐ์
ํ๊ฒฝ์์๋ ์์ ์ ์ผ๋ก ์ ์ฉ๋ ์ ์๋ค. ์ด๋ฌํ ๋ณ๋ ฌ์ ์ตํฉ ๊ตฌ์กฐ๋
์๋ก์ด ํํ์ ๋ฐ์ดํฐ๋ฅผ ์ ์ฐํ๊ฒ ํตํฉํ ์ ์๋ ํ์ฅ์ฑ์ ์ ๊ณตํ๋ฉฐ, ๊ฐ๊ธฐ ๋ค๋ฅธ ๋จ์ผ ๋ชจ๋ธ์์ ์ถ์ถ๋ ๊ณ ์ฐจ์ ํน์ง๋ค์ ํตํฉํจ์ผ๋ก์จ ๋ณด๋ค ๋ณตํฉ์ ์ธ ์ ๋ณด
ํํ์ด ๊ฐ๋ฅํ๋ค๋ ์ฅ์ ์ ๊ฐ์ง๋ค.
๊ทธ๋ฆผ 5. heatmap ์ด๋ฏธ์ง (a) ์๊ฐ์ ๋ฐ๋ฅธ ์จ๋ ๋ฐ์ดํฐ, (b)heatmap์ผ๋ก ๋ณํํ ์จ๋ ๋ฐ์ดํฐ
Fig. 5. heatmap image (a) temperature data over time, (b) temperature data converted
into a heatmap
๊ทธ๋ฆผ 6. CNN ๊ตฌ์กฐ
Fig. 6. CNN Structure
๊ทธ๋ฆผ 7. MMF ๋ชจ๋ธ ๊ตฌ์กฐ
Fig. 7. MMF Model Structure
4. Experiments and Analysis
4.1 Dataset description
๋ณธ ์ฐ๊ตฌ์์๋ ์ ์ํ ์๊ณ ๋ฆฌ์ฆ์ ์ผ๋ฐํ ์ฑ๋ฅ์ ํฅ์์ํค๊ธฐ ์ํ์ฌ, ๋ค์ํ ์ถฉ์ ์กฐ๊ฑด์ด ๋ฐ์๋ ๋ฆฌํฌ์ด์จ ๋ฐฐํฐ๋ฆฌ์ MIT Aging ๋ฐ์ดํฐ์
์ ํ์ฉํ์๋ค[17]. ์ด ๋ฐ์ดํฐ์
์ ์ค์ ์์
์ฉ ์
์ ๊ธฐ๋ฐ์ผ๋ก ๋ค์ํ ์ดํ ํจํด์ ํฌํจํ๊ณ ์์ด ์ค์ฌ์ฉ ํจํด์ ๋ฐ์ํ SOH ์ถ์ ์ฐ๊ตฌ์ ์ ํฉํ๋ค. ๋ฐ์ดํฐ ์
์ SOH๊ฐ
80%์ ๋๋ฌํ๋ ์์ ์ EOL(End of Life)๋ก ์ ์ํ๊ณ , ํด๋น ์์ ๊น์ง์ ์ถฉยท๋ฐฉ์ ์ฃผ๊ธฐ๋ฅผ ์ธก์ ํ์ฌ ๊ตฌ์ฑ๋์๋ค. ๋ชจ๋ ์คํ์ 30โ์ ์ผ์ ํ
์จ๋ ํ๊ฒฝ์์ ์ํ๋์์ผ๋ฉฐ, ์ถฉยท๋ฐฉ์ ๊ณผ์ ์์ ๋ฐ์ํ๋ ๋ด๋ถ ๋ฐ์ด๋ก ์ธํด ์จ๋๋ ์ต๋ 10โ๊น์ง ์์นํ๋ ๊ฒฝํฅ์ ๋ํ๋๋ค. ํนํ, ์
์ ๊ณ ์ ์ถฉ์
์กฐ๊ฑด์์์ ์ฑ๋ฅ์ ํ๊ฐํ๊ธฐ ์ํ์ฌ ์ ์กฐ์ฌ์์ ๊ถ์ฅํ๋ ์ถฉ์ ์๋์ธ 3.6C๋ถํฐ 6C๊น์ง ๋ค์ํ ์ถฉ์ ์กฐ๊ฑด์ด ์ ์ฉ๋์๋ค. ๋ฐฉ์ ์กฐ๊ฑด์ ๋ชจ๋ ์
์ ๋ํด
๋์ผํ๊ฒ 4C ์ ์ ๋ฅ๋ก ์ค์ ๋์๋ค. ์ด๋ฅผ ํตํด ์ฝ 150ํ์์ 2,300ํ์ ์ด๋ฅด๋ ๋์ ๋ฒ์์ ์๋ช
์ฃผ๊ธฐ๋ฅผ ํฌํจํ๋ ๋ฐ์ดํฐ์
์ ํ๋ณดํ์๋ค. ๋ฐฐํฐ๋ฆฌ
์
์ ์ธ๋ถ ์ฌ์์ ํ 1์ ์ ์๋์ด ์๋ค.
๋ณธ ์ ์์๋ ์
๋ ฅ ๋ฐ์ดํฐ์ ์ ํจ์ฑ์ ๊ฒ์ฆํ๊ณ , ์ ์๋ ๋ชจ๋ธ์ ์ตํฉ ๊ตฌ์กฐ๊ฐ ์ฑ๋ฅ์ ๋ฏธ์น๋ ์ํฅ์ ํ๊ฐํ๊ธฐ ์ํด ๋ฐ์ดํฐ๋ฅผ ๋ถํ ํ์๋ค. ์ ์ฒด 124๊ฐ์
๋ฆฌํฌ์ด์จ ๋ฐฐํฐ๋ฆฌ ์
์ค, Cell 1๋ถํฐ 99์ ํ์ต์ฉ(train), Cell 100๋ถํฐ 112์ ๊ฒ์ฆ์ฉ(validation), Cell 113๋ถํฐ
122๊น์ง๋ ํ
์คํธ์ฉ(test)์ผ๋ก ๊ตฌ๋ถํ์ฌ ์คํ์ ์งํํ์๋ค. ํนํ ํ
์คํธ ์
์ ์๋ช
์ฃผ๊ธฐ๋ ์ฝ 750~1750 ์ฌ์ดํด๊น์ง ๋ค์ํ๊ฒ ๋ถํฌ๋์ด ์์ผ๋ฉฐ,
์ด๋ ๋ณธ ์ฐ๊ตฌ์์ ์ ์ํ ๋ชจ๋ธ์ด ์๋ก ๋ค๋ฅธ ์ดํ ํน์ฑ๊ณผ ์๋ช
๋ถํฌ๋ฅผ ์ง๋ ์
์ ๋ํด์๋ ๋์ ์ผ๋ฐํ ์ฑ๋ฅ์ ์ ์งํ๋ฉฐ ์์ ์ ์ธ SOH ์ถ์ ์ด ๊ฐ๋ฅํจ์
๊ฒ์ฆํ๊ธฐ ์ํด ํ์ฉ๋์๋ค.
ํ 1 MIT Aging ๋ฐ์ดํฐ์
์ธ๋ถ ์ฌ์
Table 1 MIT Aging Dataset Detailed Specifications
|
Battery model
|
A123-APR18650M1A
|
|
Nominal capacity
|
1.1Ah
|
|
Cut-off voltage
|
2.0V
|
|
Cut-off current
|
C/50
|
|
Amount of cells
|
124
|
4.2 Result analysis
๋ณธ ์คํ์ ๋จ์ผ ๋ฐ ์ด์ค ์
๋ ฅ ๊ธฐ๋ฐ ๋ชจ๋ธ๋ค๊ณผ์ ์ฑ๋ฅ ๋น๊ต๋ฅผ ํตํด ๋ฉํฐ๋ชจ๋ฌ ๊ตฌ์กฐ์ ํ๋น์ฑ๊ณผ ํจ๊ณผ๋ฅผ ์ค์ฆ์ ์ผ๋ก ๊ฒ์ฆํ๊ณ ์ ํ์๋ค. ์ด๋ฅผ ์ํด, ์
๋ ฅ ๋ฐ์ดํฐ์
์ ํ์ ๋ฐ๋ผ ๋จ์ผ ์
๋ ฅ ๊ธฐ๋ฐ ๋ชจ๋ธ๊ณผ ์ด์ค ์
๋ ฅ ๊ธฐ๋ฐ ๋ชจ๋ธ์ ๊ตฌ์ฑํ๊ณ ์ฑ๋ฅ ๋น๊ต ์คํ์ ์ํํ์๋ค. ์คํ์ ์ ๋ขฐ๋๋ฅผ ๋์ด๊ธฐ ์ํ์ฌ ๊ฐ ์คํ์ 5ํ ๋ฐ๋ณต
์ํ๋์์ผ๋ฉฐ, ๊ทธ ํ๊ท ๊ฐ์ ํ 2์ ๋ํ๋ด์๋ค. ๋ชจ๋ธ์ ์ฑ๋ฅ ํ๊ฐ๋ RMSE, MAE, Rยฒ๋ฅผ ์ฌ์ฉํ์์ผ๋ฉฐ, ์ (9)~(11)๋ก ๋ํ๋ธ๋ค. ๋ํ, ๋ชจ๋ธ์ ๋ณต์ก๋๋ FLOPs๋ฅผ ํตํด ํ๊ฐํ์๋ค.
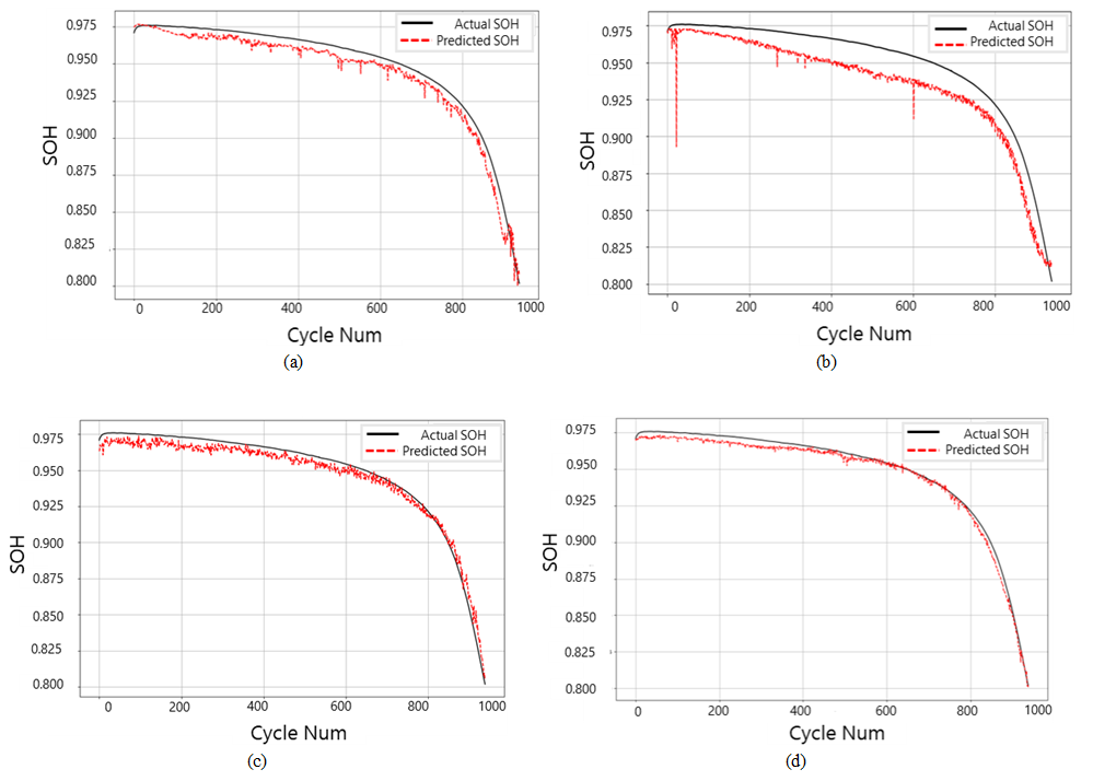
๊ทธ๋ฆผ 8๊ณผ ํ 2์ ์ ์๋ SOH ์์ธก ๊ฒฐ๊ณผ๋ ์ ์๋ MMF ๋ชจ๋ธ์ด ์
๋ ฅ ๋ฐ์ดํฐ์ ๋ณตํฉ์ ํน์ฑ์ ํจ๊ณผ์ ์ผ๋ก ํ์ฉํ์ฌ ๋์ ์์ธก ์ ํ๋๋ฅผ ๋ฌ์ฑํจ์ ๋ํ๋ธ๋ค.
๋จ์ผ ๋ชจ๋ธ์ ๊ฒฝ์ฐ, MLP๋ ๊ทธ๋ฆผ 8(a)์ ๊ฐ์ด point wise HI๋ฅผ ๊ธฐ๋ฐ์ผ๋ก ์ ๋ฐ์ ์ธ SOH์ ํ๊ท ์ถ์ธ๋ฅผ ์์ ์ ์ผ๋ก ์ถ์ข
ํ๋ ๊ฒฝํฅ์ ๋ณด์๋ค. ๊ทธ๋ฌ๋, point wise ๋ฐ MLP์
๊ตฌ์กฐ์ ์ธ ํน์ฑ์ผ๋ก ๊ธ๊ฒฉํ ๋ณํ ๊ตฌ๊ฐ์ด๋ ํ๋ ๊ฐ์ ๋ฏผ๊ฐํ๊ฒ ๋ฐ์ํ์ฌ ๊ทธ๋ฆผ 9์ ๊ฐ์ ์ถ์ ์ค์ฐจ ๋ถํฌ๊ฐ ๋ํ๋๋ค. ์ด๋ ๊ฐ ๋ฐ์ดํฐ ๊ฐ์ ๊ด๊ณ์ฑ์ ํ์ตํ๋ ๋ฐ ํ๊ณ๊ฐ ์์์ ์๋ฏธํ๋ค. LSTM์ ์๊ณ์ด ๋ฐ์ดํฐ์ ์๊ฐ์ ํ๋ฆ์
๋ฐ๋ฅธ ์ ๋ณด๋ฅผ ํ์ตํ์ฌ ์์ธก ๊ณก์ ์ ์ ์ฒด ํํ๋ฅผ ์ผ์ ์์ค ์ด์ ์ฌํํ์๋ค. ๊ทธ๋ฌ๋ ์ด๊ธฐ ์
๋ ฅ๊ฐ์ ์ํฅ์ ๋ฐ๋ผ ์์ธก ๊ณก์ ์ด ๊ณผ๋ ๋๋ ๊ณผ์ ์ถ์ ๋๋
๊ฒฝํฅ์ด ๋ํ๋๋ ๊ฒ์ ๊ทธ๋ฆผ 8(b)๋ฅผ ํตํด ํ์ธํ์๋ค.
ํ 2 SOH ์์ธก ๊ฒฐ๊ณผ ๋น๊ตํ
Table 2 SOH Prediction Results Comparison Table
|
input data
|
algorithm
|
RMSE($10^{-2}$)
|
MAE($10^{-2}$)
|
$R^{2}$
|
FLOPs
|
|
point
|
sequence
|
heatmap
|
|
โ
|
|
|
MLP
|
0.885$\pm $0.050
|
0.715$\pm $0.015
|
0.955 $\pm $0.001
|
9.441K
|
|
|
โ
|
|
LSTM
|
1.190$\pm $0.100
|
0.935$\pm $0.035
|
0.911$\pm $0.013
|
6.420M
|
|
|
|
โ
|
CNN
|
0.870$\pm $0.050
|
0.570$\pm $0.043
|
0.950$\pm $0.009
|
31.474G
|
|
โ
|
โ
|
|
MLP+LSTM
|
0.743$\pm $0.167
|
0.743$\pm $0.127
|
0.937$\pm $0.025
|
0.644G
|
|
โ
|
|
โ
|
MLP+CNN
|
0.540$\pm $0.145
|
0.370$\pm $0.112
|
0.970$\pm $0.172
|
31.47G
|
|
|
โ
|
โ
|
LSTM+CNN
|
0.870$\pm $0.045
|
0.670$\pm $0.058
|
0.955$\pm $0.007
|
32.118G
|
|
โ
|
โ
|
โ
|
MMF
|
0.430$\pm $0.010
|
0.300$\pm $0.012
|
0.985$\pm $0.002
|
32.121G
|
๊ทธ๋ฆผ 8. SOH ์ถ์ ๊ฒฐ๊ณผ ๊ทธ๋ํ (a) MLP, (b) LSTM, (c) CNN, (d) MMF
Fig. 8. SOH estimation result graph (a) MLP, (b) LSTM, (c) CNN, (d) MMF
LSTM์ด RNN์ ๋นํด ์ฅ๊ธฐ ์ํ์ค๋ฅผ ๋ณด๋ค ์์ ์ ์ผ๋ก ์ฒ๋ฆฌํ ์ ์๋ ๊ตฌ์กฐ๋ฅผ ๊ฐ์ง๊ณ ์์ผ๋, ๋ณด์กด ๊ฐ๋ฅํ ์ ๋ณด์ ์์๋ ํ๊ณ๊ฐ ์กด์ฌํ๋ค. ๋ฐ๋ผ์
์๊ณ์ด ๋ฐ์ดํฐ ์์์ ๊ธ๊ฒฉํ ๋ณํ๊ฐ ๋ฐ์ํ๋ ๊ตฌ๊ฐ์ ๋ํด์๋ ์ธ๋ถ์ ์ธ ์ ๋ณด๋ฅผ ์ถฉ๋ถํ ๋ฐ์ ํ์ง ๋ชปํ๋ ๊ฒฐ๊ณผ๋ฅผ ๋ณด์๋ค. ํนํ, ์ด๊ธฐ ์ถ์ ๊ฐ์ด ์ ํํ ์๋ก
๊ณก์ ์ ๊ธ๊ฒฉํ ๋ณํ์ ๋ํ ๋ฐ์์ด ๋ถ์กฑํ์ฌ ๊ทธ๋ฆผ 9(b)์ ๊ฐ์ด ์ค์ฐจ๊ฐ ํฌ๊ฒ ๋ํ๋๋ค.
CNN ๋ชจ๋ธ์ ์ด๋ฏธ์ง ๊ธฐ๋ฐ์ ๊ตญ์ ์ ๋ณด๋ฅผ ํจ๊ณผ์ ์ผ๋ก ํ์ตํ๋ ํน์ง์ด ์์ด ๊ทธ๋ฆผ 8(c)์ ๊ฐ์ด ํ๋ฐ๋ถ SOH ์ ํ๋ฅผ ์ ํํ๊ฒ ์์ธกํ์๋ค. ๊ทธ๋ฌ๋ ์
๋ ฅ ์ด๋ฏธ์ง์ ๋
ธ์ด์ฆ์ ๋ํ ๋ฏผ๊ฐํ ํน์ฑ์ด ์์ด ์์ธก ๊ณก์ ์์ ์ง๋์ด ํฌ๊ฒ ๋ํ๋๋ฉฐ ๊ทธ๋ฆผ 9(c)์์ ๋ํ๋๋ ๋ฐ์ ๊ฐ์ด ๋
ธ์ด์ฆ์ ๋ฐ๋ฅธ ์ถ์ ์ค์ฐจ๊ฐ ํฌ๊ฒ ๋ํ๋๋ค. ์ด๋ฅผ ํตํด ๊ฐ ๋จ์ผ ๋ชจ๋ธ์ ํน์ ์
๋ ฅ ํํ์ ๋ํ ๊ฐ์ ์ ๋ณด์ ํ๊ณ ์์ผ๋, ๊ณก์ ์
๊ธ๋ณ ๊ตฌ๊ฐ ๋๋ ๋
ธ์ด์ฆ๊ฐ ํฌํจ๋ ํ๊ฒฝ์์๋ ์์ธก ์์ ์ฑ๊ณผ ์ ๋ฐ๋ ์ธก๋ฉด์์ ๊ณตํต์ ์ธ ํ๊ณ๋ฅผ ๋ณด์ด๋ ๊ฒ์ผ๋ก ๋ํ๋ฌ๋ค.
MLP+LSTM ์ตํฉ ๋ชจ๋ธ์ ์ถ์ ์ฑ๋ฅ์ ์๊ณ์ด์ ์ ๋ฐ์ ์ธ ์ถ์ธ์ point wise ๊ธฐ๋ฐ์ ์ ์ญ ์ ๋ณด๋ฅผ ๊ฒฐํฉํ์ฌ ๊ธฐ์กด LSTM ๋ชจ๋ธ๊ณผ ๋น๊ตํ์ฌ Rยฒ๊ฐ
2.8% ํฅ์๋์๋ค. ๊ทธ๋ฌ๋ LSTM์ ์ด๊ธฐ๊ฐ ์์กด์ฑ์ผ๋ก ์ธํด SOH ์ถ์ ์์ ์ฑ์๋ ํ๊ณ๊ฐ ์กด์ฌํ์๋ค. MLP+CNN ์ตํฉ ๋ชจ๋ธ์ MLP์ ์ ์ญ์ ์ธ
ํน์ฑ๊ณผ CNN์ ๊ตญ์ ํจํด ํ์ต ๋ฅ๋ ฅ์ด ์กฐํ๋ฅผ ์ด๋ฃจ๋ฉฐ ๊ธฐ์กด MLP ๋ชจ๋ธ๊ณผ ๋น๊ตํ์ฌ Rยฒ๊ฐ 1.5% ํฅ์๋์์ง๋ง, CNN์ ๋
ธ์ด์ฆ ๋ฐ์ ํน์ฑ์ด ์ฌ์ ํ
์์ธก๊ฐ์ ๋ํ ์ง๋์ ์ ๋ฐํ๋ ๊ฒ์ ํ์ธํ์๋ค.
๋ฐ๋ฉด, ๊ฐ ๋ฐ์ดํฐ์ ํน์ฑ์ ๋ฐ๋ฅธ ๋ชจ๋ธ์ ๊ฒฐํฉํ MMF ๋ชจ๋ธ์ ๊ฐ๊ธฐ ๋ค๋ฅธ ๋ฐ์ดํฐ ํํ(point, sequence, heatmap image)์ ํน์ฑ์
์ํธ ๋ณด์ํ์ฌ, ๊ณก์ ์ ์ ์ฒด ์ถ์ธ, ๊ตญ์ ์ ๋ณด, ์๊ณ์ด ๋ณํ๊น์ง ๊ท ํ ์๊ฒ ๋ฐ์ํ์๋ค. ๊ทธ๋ฆผ 8(d)๋ฅผ ํตํด ์์ ์ฑ๊ณผ ์ ๋ฐ๋ ๋ชจ๋์์ ๊ธฐ์กด ๋จ์ผ ๋ชจ๋ธ ๋ฐ ์ด์ค ์ตํฉ ๋ชจ๋ธ ๋๋น ์ฐ์ํ ์ฑ๋ฅ์ ํ์ธํ์๋ค. ๋ํ ๊ทธ๋ฆผ 9(d)์ ๊ฐ์ด ์ถ์ ์ค์ฐจ๊ฐ ๋ฎ๊ฒ ๋ถํฌํ์ฌ ์ถ์ ์ ํ๋๊ฐ ํฅ์๋ ๊ฒ์ ํ์ธํ ์ ์๋ค. ๋จ์ผ CNN ๋ชจ๋ธ์ ๋นํด RMSE์ MSE ๊ฐ๊ฐ 50.6%, 47.3%
๊ฐ๋ ๊ฐ์ํ์ฌ ์ฑ๋ฅ ํฅ์์ ๋ณด์์ผ๋ฉฐ, FLOPs๋ 1.9% ์ฆ๊ฐํ์๋ค.
๊ธฐ์กด ๋จ์ผ ๋ชจ๋ธ ์ค ๋ฐฐํฐ๋ฆฌ ์ถ์ ์ ๋ง์ด ํ์ฉ๋๋ LSTM๊ณผ ๋น๊ตํ์ฌ Rยฒ๊ฐ 8.5% ํฅ์๋ ์ฑ๋ฅ์ ๋ณด์๋ค. ์ด์ค ์ตํฉ ๋ชจ๋ธ ์ค MLP+LSTM ๋ชจ๋ธ์
๋นํด์๋ Rยฒ๊ฐ 4.9% ํฅ์๋์๋ค. ์ด๋ ๋จ์ผ ๋ชจ๋ธ ๋ฐ ์ด์ค ์ตํฉ ๋ชจ๋ธ๊ณผ ๋น๊ตํ์ฌ ์ ์ํ๋ MMF ๋ชจ๋ธ์ ์ ๋ฐ์ ์ธ ์ถ์ ์ ํ๋๊ฐ ๊ฐ์ฅ ์ฐ์ํจ์ ๋ํ๋ธ๋ค.
๋ํ, ์คํ ๋ฐ๋ณต ๊ฐ ์ฑ๋ฅ ํธ์ฐจ๊ฐ 0.002๋ก ๊ฐ์ฅ ์์ผ๋ฏ๋ก ๊ธฐ์กด ๋จ์ผ ๋ชจ๋ธ ๋๋น ๋ฐ์ด๋ ์ผ๋ฐํ ๋ฅ๋ ฅ์ ๊ฐ์ถ ๊ฒ์ ๊ฒ์ฆํ์๋ค. ์ด์ฒ๋ผ ํ์ ํ ์ค์ด๋
์คํ ์ค์ฐจ ํธ์ฐจ๋ฅผ ํตํด ๋ฐ๋ณต ์ฌ์ดํด์์์ ์ค์ฐจ ๋์ ์ ์ค์ฌ ๋ชจ๋ธ์ ์์ ์ฑ๊ณผ ์ ํ์ฑ์ ์
์ฆํ์์ผ๋ฉฐ, ์ฅ๊ธฐ์ ์ธ ๋ชจ๋ธ ํ์ฉ ๊ฐ๋ฅ์ฑ์์๋ ๊ฐ์ฅ ๋์ ์ ์ฌ๋ ฅ์
๋ํ๋ด์๋ค.
๊ทธ๋ฆผ 9. SOH ์ถ์ ์ค์ฐจ ๋ถํฌ (a) MLP, (b) LSTM, (c) CNN, (d) MMF
Fig. 9. SOH estimation error distribution (a) MLP, (b) LSTM, (c) CNN, (d) MMF
5. ๊ฒฐ ๋ก
๋ณธ ์ฐ๊ตฌ์์๋ ๋ฐฐํฐ๋ฆฌ ์ํ ์ถ์ ์ ์ ํ๋๋ฅผ ํฅ์์ํค๊ธฐ ์ํ์ฌ MMF ๋ชจ๋ธ ๊ธฐ๋ฐ์ SOH ์์ธก ๋ชจ๋ธ์ ์ ์ํ์๋ค. ์ ์ํ ๋ชจ๋ธ์ point, sequence,
heatmap ๋ฐ์ดํฐ๋ฅผ ๊ฐ๊ฐ ์ฒ๋ฆฌํ๋ MLP, LSTM, CNN ๊ตฌ์กฐ๋ฅผ ๋ณ๋ ฌ๋ก ๊ฒฐํฉํ์ฌ, ๋ค์ํ ํํ์ ์ ๋ณด๋ฅผ ํตํฉ์ ์ผ๋ก ํ์ฉํ ์ ์๋๋ก ์ค๊ณํ์๋ค.
์ด๋ฅผ ํตํด ๊ธฐ์กด์ ๋จ์ผ ๋๋ ์ด์ค ์ตํฉ ๋ชจ๋ธ๋ค์ด ๊ฐ์ง๋ ์ ํ๋ ๋ฐ ์ผ๋ฐํ ์ฑ๋ฅ์ ํ๊ณ๋ฅผ ํจ๊ณผ์ ์ผ๋ก ๊ฐ์ ํ์๋ค. ์คํ ๊ฒฐ๊ณผ, ์ ์๋ MMF ๋ชจ๋ธ์ RMSE,
MAE, Rยฒ ์งํ์์ ๊ฐ๊ฐ 0.007, 0.006, 0.074๋งํผ ๊ฐ์ ๋์ด ์ฐ์ํ ์์ธก ์ฑ๋ฅ์ ๋ณด์๋ค. ์ด๋ ํตํด MLP, LSTM, CNN์ด ๊ฐ๋
ํน์ฅ์ ์ ์ตํฉ์ ์ผ๋ก ์ฐ๊ณํ์ฌ SOH ์ ํ๋๋ฅผ ํฅ์์์ผฐ๋ค. ์ด๋ฌํ ๊ฒฐ๊ณผ๋ ํฅํ ๋ค์ํ ํํ์ ์ผ์ ๋ฐ์ดํฐ๋ฅผ ํ์ฉํ ๋ณตํฉ ์์คํ
์ ์ํ ์์ธก ๋ฐ ๊ณ ์ฅ
์ง๋จ ๋ถ์ผ์ ์์ด ๋ฉํฐ๋ชจ๋ฌ ๊ธฐ๋ฐ ์ ๊ทผ ๋ฐฉ์์ ์ ์ฉ ๊ฐ๋ฅ์ฑ๊ณผ ํ์ฅ์ฑ์ ์ ์ํ์๋ค.
Acknowledgements
๋ณธ ์ฐ๊ตฌ๋ 2025๋
๋ ์ฐ์
ํต์์์๋ถ๊ฐ ์ง์ํ โ35kW๊ธ ๋ฐฐํฐ๋ฆฌ ๊ต์ฒดํ ๋์
์ฉ ์ ๋ํ ํ๋ซํผ ๊ธฐ์ ๊ฐ๋ฐ (๊ณผ์ ๋ฒํธ: RS-2024-00423034)โ๊ณผ,
โ์ ๊ธฐ์ฐจ ์ฌ์ ์กฐ ๋ฐฐํฐ๋ฆฌ ์์ ์ฑ ํ๊ฐ์์คํ
๊ตฌ์ถ(๊ณผ์ ๋ฒํธ: RS-2024-00436689)โ ์ํ์ฌ ์ด๋ฃจ์ด์ง ์ฐ๊ตฌ๋ก์, ๊ด๊ณ๋ถ์ฒ์ ๊ฐ์ฌ๋๋ฆฝ๋๋ค.
References
H. Lin, T. Liang and S. Chen, โEstimation of battery state of health using probabilistic
neural network,โ IEEE transactions on industrial informatics, vol. 9, no. 2, pp. 679-685,
2012.DOI:10.1109/TII.2012.2222650

Wang, Yujie, et al., โA comprehensive review of battery modeling and state estimation
approaches for advanced battery management systems,โ Renewable and Sustainable Energy
Reviews 131, 2020.DOI:10.1016/j.rser.2020.110015

W. Jingwen, G. Dong and Z. Chen, โRemaining useful life prediction and state of health
diagnosis for lithium-ion batteries using particle filter and support vector regression,โ
IEEE Transactions on Industrial Electronics, vol. 65, no. 7, pp. 5634-5643, 2017.DOI:10.1109/TIE.2017.2782224

O. Demirci, S. Taskin, E. Schalts, B.A. Demirci, โReview of battery state estimation
methods for electric vehicles-Part II: SOH estimation,โ Journal of Energy Storage,
vol. 96, 2024.DOI:10.1016/j.est.2024.112703

Dini, Pierpaolo, A. Colicelli and S. Saponara, โReview on modeling and soc/soh estimation
of batteries for automotive applications,โ Batteries, vol. 10, no. 1, 2024.DOI:10.3390/batteries10010034

Wang, H., Pourmousavi, S. A., Soong, W. L., Zhang, X. & Yuan, R, โAccurate battery
models matter: Improving battery performance assessment using a novel energy management
architecture,โ Journal of Power Sources, vol. 631, 2025.DOI:10.1016/j.jpowsour.2025.236216

V. S, H. Che, J. Selvaraj, K. Tey and J. Lee, โState of Health (SoH) estimation methods
for second life lithium-ion battery-Review and challenges,โ Applied Energy, vol. 369,
2024.DOI:10.1016/j.apenergy.2024.123542

X. Yao, G. Chen, L. Hu and M. Pecht, โA multi-model feature fusion model for lithium-ion
battery state of health prediction,โ Journal of Energy Storage, vol. 56, 2022.DOI:10.1016/j.est.2022.106051

C. Cheng, R. Xiong, R. Yang and H. Li, โA novel data-driven method for mining battery
open-circuit voltage characterization,โ Green Energy and Intelligent Transportation,
vol. 1, no. 1, 2022DOI:10.1016/j.geits.2022.100001

Y. Li, G. Gao, K. Chen, S He, K. Liu, D. Xin, Y. Lu, Z. Long and G. Wu, โState-of-health
prediction of lithium-ion batteries using feature fusion and a hybrid neural network
model,โ Energy, vol. 319, 2025DOI:10.1016/j.energy.2025.135163

T. Oji, Y. Zhou, S. Ci, F. Kang, X. Chen and X. Liu, โData-driven methods for battery
soh estimation: Survey and a critical analysis,โ Ieee Access, vol. 9, 2021DOI:10.1109/ACCESS.2021.3111927

Z. Lijun, J. Tuo, Y. Shiha and L. Guanchen, โAccurate prediction approach of SOH for
lithium-ion batteries based on LSTM method,โ Batterie,s vol. 9, no. 3 2023.DOI:10.3390/batteries9030177

M. Park, J. Lee and B. Kim, โSOH estimation method of lithium ion battery using
Continuous Wavelet Transform and CNN,โ KIEE Conf, pp. 167-168, 2021.

M. Anurag and A. G. Thosar, โRNN and CNN Based Ensemble Models for State-of-Health
Prediction of Li-Ion Batteries,โ IEEE International Conference on Intelligent Systems,
Smart and Green Technologies (ICISSGT), pp. 128-132, 2024.DOI:10.1109/ICISSGT58904.2024.00035

S. Sridharan, S. Venkataraman, M. Raman and S. P. Raja, โEarly prognostics of remaining
useful life in lithium ion batteries using hybrid LSTM-Att-MLP model with fusing aging
information,โ Journal of The Electrochemical Society, vol. 171, no. 8, 2024.DOI:10.1149/1945-7111/ad6d94

K. Severson, P. Attis, N. Jin, N. Perkins, B. Jiang, Z. Yang, M. Chen, M. Aykol, P.
Herring, D. Fraggedakis, M. Bazant, S. Harris, W. Chueh and R. Braatz, โData-driven
prediction of battery cycle life before capacity degradation,โ Nature Energy, vol.
4, no. 5 pp. 383-391, 2019.DOI:10.1038/s41560-019-0356-8

Stroe, D. Ioan and E. Schaltz, โLithium-ion battery state-of-health estimation using
the incremental capacity analysis technique,โ IEEE Transactions on Industry Applications,
vol. 56, no. 1, pp.678-685 2019.DOI:10.1109/TIA.2019.2955396

์ ์์๊ฐ
She received B.S degrees in electrical and electronic engineering from University
of Ulsan, Korea in 2024. and She has been started master's degree at the same university.
Her research interests include data science and energy system.
She received B.S, and M.S degrees in electricity and electrical engineering from University
of Ulsan, Ulsan, Korea, in 2020 and 2023 respectively. Now She has been started PhDโs
degree at the same university. Her research interests include artificial neural networks
and data science.
๊น๋ณ์ฐ(Byeong-Woo Kim)
He received the B.E M.E and Ph.D degree in Precision Mechanical Engineering from Hanyang
University. He worked at KOSAKA Research Center in 1989. He worked at KATECH electrical
technology Research Center from 1994 to 2006. Now he is a professor in the School
of electrical engineering in University of Ulsan, Ulsan, South Korea from 2006. His
current research interests include advanced driving assistance system (ADAS), and
autonomous emergency braking (AEB) system.