• 대한전기학회
Mobile QR Code QR CODE : The Transactions of the Korean Institute of Electrical Engineers
  • COPE
  • kcse
  • 한국과학기술단체총연합회
  • 한국학술지인용색인
  • Scopus
  • crossref
  • orcid

  1. (Korea Hydro & Nuclear Power Co.(KHNP), Republic of Korea. E-mail : hydro0564@khnp.co.kr)



IPMSM, sensorless control, low speed

1. 서 론

최근 전력 변환 기술 및 전동기 제어 기술의 발전에 따라 매입형 영구자석 동기전동기(IPMSM)가 다양한 산업 분야에서 활발히 적용되고 있다. IPMSM은 영구자석을 사용하여 높은 출력밀도와 고효율을 달성할 수 있으며, 특히 자기저항(reluctance) 토크를 활용할 수 있어 높은 토크 밀도를 확보할 수 있는 장점이 있다. 이러한 특성으로 인해 전기차, 산업용 자동화, 가전제품 등의 응용에서 기존 유도전동기 대비 높은 에너지 효율과 동적 성능을 제공하는 대안으로 주목받고 있다.[1-4]

그러나 IPMSM 및 기타 교류 전동기의 경우, 정확한 토크 및 속도 제어를 위해 회전자 자속의 위치를 실시간으로 검출하는 것이 필수적이다. 일반적으로 레졸버(Resolver) 또는 엔코더(encoder) 등의 속도/위치 센서를 이용하여 회전자 위치를 검출하지만, 이러한 센서는 비용 증가, 설치 복잡성, 외부 환경에 대한 취약성 등의 문제로 인해 산업 현장에서 적용이 제한될 수 있다. 이에 따라, 별도의 센서를 사용하지 않고 전동기를 구동하는 센서리스(Sensorless) 제어 기법이 경제성 및 신뢰성을 고려한 대안으로 연구되고 있다.[1-16]

센서리스 제어 방식에서는 역기전력(back-EMF)을 이용하여 회전자 자속의 위치를 추정하는 방법이 일반적으로 사용된다. 고속 운전에서는 충분한 역기전력 정보를 활용할 수 있으므로 비교적 안정적인 운전이 가능하다. 그러나 저속 영역(low-speed region)에서는 역기전력 크기가 작아 노이즈 대비 신호 강도가 낮아지므로 정확한 회전자 위치 추정이 어렵다는 한계가 존재한다.[3]

본 논문에서는 IPMSM의 저속 영역 센서리스 운전 성능을 개선하기 위해 속도제어기의 전류지령 변경 알고리즘을 적용한 새로운 센서리스 제어 기법을 제안한다. 기존의 센서리스 제어 방식에서 발생하는 저속 불안정성을 개선하기 위해, 속도제어기의 출력을 기반으로 d-q 축 전류 지령을 동적으로 조정하는 알고리즘을 도입하였다.

본 논문에서는 단위전류당 최대 토크 제어(MTPA, Maximum Torque Per Ampere) 기법을 적용하고, 저속 영역에서 충분한 고정자 전압 확보를 위해 전류제한범위 내에서 적절한 d-q축 전류를 인가하는 방법을 제안하였으며, 타당성을 검증하기 위해 실험적 검증을 수행하였으며, 이를 통해 기존 센서리스 제어 방식 대비 저속 운전 성능의 향상과 안정적 제어가 가능함을 확인하였다.

2. 본 론

2.1 단위전류당 최대 토크 제어를 적용한 속도제어기

속도제어기는 속도지령($\omega_{rm}^*$)과 측정된 속도($\omega_{rm}$)의 차이로부터 동기좌표계 d-q축 전류지령($i_{ds}^{r*}, i_{qs}^{r*}$)을 생성한다. 엔코더가 있는 시스템에서는 엔코더로부터 측정된 속도를 궤환하면 되고, 센서리스 구동인 경우는 추정된 속도($\hat{\omega}_{rm}$) 혹은 적절히 필터된 속도($\hat{\omega}_{rm\_flt}$)를 사용하면 된다. 본 절에서는 일반성을 유지하기 위하여 측정된 속도를 $\omega_{rm}$으로 표현하도록 한다.

속도제어기의 출력은 단위전류당 최대토크를 만족하는 전류지령이지만 이 값을 구하기는 쉽지 않다. 먼저 $i_s^*$을 전류벡터의 크기 $|i_s^*|=I_s$를 가지며, $i_s^* > 0$인 경우에는 양의 최대토크를 발생시키는 전류벡터를, $i_s^* < 0$인 경우에는 음의 최대토크를 발생시키는 전류벡터를 표현하는 것으로 한다. 예를 들면 $i_s^* = 10\text{A}$이면 10 A의 크기를 가지는 전류벡터 중에 양의 최대토크를 발생시키는 전류벡터를, $i_s^* = -10\text{A}$이면 10 A의 크기를 가지는 전류벡터 중에 음의 최대토크를 발생시키는 전류벡터를 의미한다. 그러므로 $i_s^*$가 주어지면, 동기좌표계 d-q축 전류지령치($i_{ds}^{r*}, i_{qs}^{r*}$)가 다음과 같이 구해진다.[17]

(1)
$ i_{ds}^{r*} = \frac{\phi_f - \sqrt{\phi_f^2 + 8(L_{qs} - L_{ds})^2 i_s^{*2}}}{4(L_{qs} - L_{ds})} \\ i_{qs}^{r*} = sign(i_s^*) \sqrt{i_s^{*2} - i_{ds}^{r*2}} $

여기서,

$ \begin{cases} sign(i_s^*) = 1 & \text{if } i_s^* \ge 0 \\ sign(i_s^*) = -1 & \text{if } i_s^* < 0 \end{cases} $

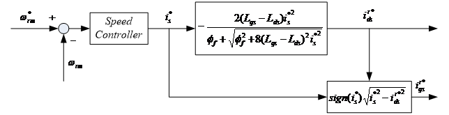
그림 1. 단위전류당 최대토크 제어를 적용한 속도제어기

Fig. 1. Speed controller employing maximum torque per ampere control

../../Resources/kiee/KIEE.2025.74.12.2204/fig1.png

그림 1은 단위토크당 최대토크 제어를 적용한 속도제어기를 나타낸다. 속도오차로부터 속도제어기에서 $i_s^*$를 출력하고, 식(1)을 사용하여 d-q축 전류지령을 생성한다.

2.2 고정자 전압의 크기

동기좌표계 d-q축 전압방정식은 다음과 같다.

(2)
$ v_{ds}^r = R_s i_{ds}^r + L_{ds} \frac{di_{ds}^r}{dt} - \omega_r L_{qs} i_{qs}^r \\ v_{qs}^r = R_s i_{qs}^r + L_{qs} \frac{di_{qs}^r}{dt} + \omega_r L_{ds} i_{ds}^r + \omega_r \phi_f $

정상상태 동기좌표계 d-q축 고정자전압은 미분항을 무시하면

(3)
$ v_{ds}^r = R_s i_{ds}^r - \omega_r L_{qs} i_{qs}^r \\ v_{qs}^r = R_s i_{qs}^r + \omega_r L_{ds} i_{ds}^r + \omega_r \phi_f $

이 되고, 고정자전압의 크기의 제곱은

(4)
$ V_s^2 = v_{ds}^{r2} + v_{qs}^{r2} \\ \quad = (R_s i_{ds}^r - \omega_r L_{qs} i_{qs}^r)^2 + (R_s i_{qs}^r + \omega_r L_{ds} i_{ds}^r + \omega_r \phi_f)^2 $

이 된다. IPMSM의 경우 문제를 단순화하기 위하여 등가 SPMSM(Surface Permanent Magnet Synchronous Motor, 다른 상수는 동일하고 d축과 q축의 인덕턴스를 동일한 값 $L_s$로 둔다)를 고려해보자. 여기서 $L_s$는 d축과 q축의 인덕턴스 평균값을 적용한다. 식(4)

(5)
$ V_s^2 = (R_s^2 + \omega_r^2 L_s^2) i_{ds}^{r2} + 2 \omega_r^2 L_s \phi_f i_{ds}^r \\ \quad + (R_s^2 + \omega_r^2 L_s^2) i_{qs}^{r2} + 2 R_s \omega_r \phi_f i_{qs}^r + \omega_r^2 \phi_f^2 $

이 된다. 일정속도에서 전기각주파수 $\omega_r$은 일정하므로, 위 식을 동기좌표계 d축 전류 $i_{ds}^r$에 대하여 편미분하면, $i_{ds}^r$의 변화에 대한 고정자전압의 크기의 제곱의 변화를 계산할 수 있다.

(6)
$ \frac{\partial V_s^2}{\partial i_{ds}^r} = 2(R_s^2 + \omega_r^2 L_s^2) i_{ds}^r + 2 \omega_r^2 L_s \phi_f $

$\frac{\partial V_s^2}{\partial i_{ds}^r} = 0$이 되는 동기좌표계 d축 전류 $i_{ds}^r$가 고정자 전압의 크기 $V_s$를 최소로 하는 전류가 되고,

(7)
$ i_{ds}^r = - \frac{\omega_r^2 L_s \phi_f}{R_s^2 + \omega_r^2 L_s^2} $

와 같다. 이 값은 속도가 0인 경우에는 0 A가 되고, 속도의 절대값이 커질수록 감소한다. 속도가 매우 높게 되면, $i_{ds}^r = - \frac{\phi_f}{L_s}$로 수렴한다. 식(7)을 2 kW급 IPMSM을 대상으로, 속도에 대해서 그림으로 표현하면 그림 2와 같다. 그림 2에서 센서리스 운전의 문제가 되는 저속영역을 살펴보면(고속의 경우 역기전력 $e = k \omega_{rm} \phi_f$이 크기 때문에 큰 문제가 되지 않음), 정격전류의 50 ~ 100% 전류가 d축에 인가될 경우 가장 전압의 크기가 작아진다.

그림 2. 속도에 따른 최소 고정자전압을 가지는 동기좌표계 d축 전류

Fig. 2. d-axis current in the synchronous reference frame that minimizes stator voltage according to speed

../../Resources/kiee/KIEE.2025.74.12.2204/fig2.png

(7)의 의미를 다시 살펴보면 동일 속도, 동일 토크지령에서 식(7)보다 큰 동기좌표계 d축 전류를 인가하게 되면, 항상 고정자전압의 크기가 증가함을 의미한다. 동기좌표계 d축 전류의 증가로 인하여 고정자전류의 크기가 증가하여 손실면에서는 불리하지만 고정자전압의 증가로 인하여, 특히 저속영역에서 센서리스 운전의 안정성을 상당히 도모할 수 있다는 장점이 있다.

IPMSM의 경우도 SPMSM의 경우와 유사하다. 그림 3은 100 rpm에서 동기좌표계 d축 전류를 더 인가함에 따른 고정자전압의 크기를 나타내고 있다. 역시 동기좌표계 d축 전류를 더 인가하면 고정자전압의 크기가 증가함을 볼 수 있다. 그림 3은 다음과 같이 계산되었다. 우선 $i_s^*$가 주어지면 단위전류당 최대토크 제어에 의한 동기좌표계 d-q축 전류 $i_{ds\_mtpa}^{r*}$와 $i_{qs\_mtpa}^{r*}$가 주어진다. 여기서 d축 전류지령에 $\Delta i_{ds}^r$을 더 인가한다. 즉, $i_{ds}^r = i_{ds\_mtpa}^{r*} + \Delta i_{ds}^r$이다. 이 경우, 출력토크가 $i_{ds\_mtpa}^{r*}$, $i_{qs\_mtpa}^{r*}$가 인가될 경우와 다르게 되므로, 동일한 토크를 출력할 수 있는 q축 전류를 비례적으로 다음과 같이 구하였다.

(8)
$ i_{qs}^r = \frac{\phi_f + (L_{ds} - L_{qs}) i_{ds\_mtpa}^{r*}}{\phi_f + (L_{ds} - L_{qs}) i_{ds}^r} i_{qs\_mtpa}^{r*} $

그림 3. 동기좌표계 d축 전류를 더 인가함에 따른 고정자전압의 크기 (100 rpm)

Fig. 3. Magnitude of the stator voltage as the d-axis current in the synchronous reference frame increases (100 rpm)

../../Resources/kiee/KIEE.2025.74.12.2204/fig3.png

2.3 제안하는 속도제어기의 전류지령 변경 알고리즘

동기좌표계 d축 전류를 양의 방향으로 증가시키면, 고정자 전압의 크기가 증가하여 센서리스 운전에 유리함을 알 수 있었다. 그러나 이러한 개념을 적용하기 위해서는 두가지 점을 더 고려하여야 한다.

첫째, 속도가 충분히 크면, 속도에 의한 역기전력이 충분히 커지게 되므로 이러한 제어가 도움이 되지 않고 오히려 고정자 전류의 증가로 인한 손실만 발생시킨다는 것이다. 그러므로 속도가 충분히 큰 영역에서는 이러한 제어를 하지 않는 것이 유리하다.

둘째, 큰 출력토크가 요구되는 경우, 단위전류당 최대토크제어에 의하여 매우 큰 고정자전류가 요구된다. 이 경우, 동기좌표계 d축 전류를 양의 방향으로 흘리게 되면, 요구되는 출력토크를 맞추기 위하여 동기좌표계 q축 전류가 더 많이 필요하고, 결국 요구되는 고정자 전류의 크기가 전류제한값을 초과하게 된다. 그러므로 고출력이 요구되는 경우에는 고정자 전류의 크기가 전류제한값을 만족하는 범위에서 동기좌표계 d축 전류를 적절한 양만큼 양의 방향으로 인가하는 것이 필요하다.

그림 4. 속도에 따른 $i_{ds\_nl}^r$

Fig. 4. $i_{ds\_nl}^r$ as a function of speed

../../Resources/kiee/KIEE.2025.74.12.2204/fig4.png

먼저 중요변수를 정의한다. 속도제어기에서 계산된 $i_s^*$에 따라 단위전류당 최대토크제어(MTPA, Maximum Torque Per Ampere Control)에 의하여 계산된 동기좌표계 d, q축 전류를 각각 $i_{ds\_mtpa}^{r*}$, $i_{qs\_mtpa}^{r*}$로 정의한다. 또 경부하에서 고정자전압의 크기를 상승시키기 위하여 인가되는 동기좌표계 d축 전류를 $i_{ds\_nl}^r$로 정의한다. $i_{ds\_nl}^r$는 속도의 절대값에 따라 그림 4와 같은 형태로 설정한다. 그림 4에서 $i_{ds\_nl\_max}^r$는 $i_{ds\_nl}^r$의 최대값으로 최대고정자전류의 크기($I_{s\_max}$)을 고려하여 $I_{s\_max}$보다 작게 설정한다. 또 속도에 따른 $i_{ds\_nl}^r$의 기울기도 적절히 설정한다.

먼저 단위전류당 최대토크 제어에 의하여 발생되는 동기좌표계 d축 전류 $i_{ds\_mtpa}^{r*}$는 항상 0 또는 음의 값을 가진다. 그리고, $i_{ds\_nl}^r$은 전동기 속도에 따라 그림 4에 의해 결정된다. 이 때, 동기좌표계 d축 전류지령은

(9)
$ i_{ds}^{r*} = max(i_{ds\_mtpa}^{r*}, i_{ds\_nl}^r) $

으로 결정한다.

먼저 속도가 0 에서 $\omega_{rpm0}$까지는 $i_{ds\_nl}^r$을 $i_{ds\_nl\_max}^r$로 유지한다. MTPA 제어에 의한 d축 전류지령은 음의 값이므로, 이 영역에서 d축 전류지령으로 큰 양의 값인 $i_{ds\_nl\_max}^r$이 생성된다. 속도가 $\omega_{rpm0}$에서 $\omega_{rpm1}$까지는 $i_{ds\_nl}^r$값을 서서히 0 A까지 줄인다. 이 경우에도 d축 전류지령으로 $i_{ds\_nl}^r$이 생성된다. 속도가 $\omega_{rpm1}$에서 $\omega_{rpm2}$까지는 $i_{ds\_nl}^r$값을 서서히 0 A에서 $i_{ds\_mpta\_min}^r$까지 감소시킨다. 여기서 $i_{ds\_mpta\_min}^r$는 MTPA 제어에 의해 생성되는 d축 전류지령의 최소값을 의미한다. 그러므로 이 영역에서는 $i_{ds\_mpta}^r$값에 따라서 d축 전류지령으로 $i_{ds\_nl}^r$이 생성될 수도 있고 $i_{ds\_mpta}^r$이 생성될 수도 있다. 속도 $\omega_{rpm0}$에서 $\omega_{rpm2}$까지의 영역은 제안된 알고리즘에서 기존 알고리즘으로 전환하는 과정이라고 이해할 수 있다. 그리고 속도가 $\omega_{rpm2}$이상이 되면, $i_{ds\_nl}^r$의 값이 $i_{ds\_mpta}^r$보다 작아지게 되므로, d축 전류지령으로 $i_{ds\_mpta}^r$이 선택되고, 기존 MTPA 제어 알고리즘으로 복귀하게 된다. 중요 설계 변수는 제안된 알고리즘에서 기존 알고리즘으로 전환하는 속도 $\omega_{rpm0}$과 $\omega_{rpm2}$이다

(a) 경부하에서의 전류지령 변경

먼저 경부하인 경우부터 고려하자. 경부하인 경우 $i_{ds}^{r*} = i_{ds\_nl}^r$로 두고, MTPA제어에 의하여 요구되는 토크와 동일한 토크를 발생시키는 q축 전류지령 $i_{qs}^{r*}$을 다음과 같이 구한다. MTPA제어에 의해 계산된 $i_{ds\_mtpa}^{r*}$와 $i_{qs\_mtpa}^{r*}$로부터 지령토크를 계산하면

(10)
$ T_e^* = \frac{3}{2} \frac{P}{2} (\phi_f + (L_{ds} - L_{qs}) i_{ds\_mtpa}^{r*}) i_{qs\_mtpa}^{r*} $

이고, $i_{ds}^{r*} = i_{ds\_nl}^r$인 경우, 토크는

(11)
$ T_e = \frac{3}{2} \frac{P}{2} (\phi_f + (L_{ds} - L_{qs}) i_{ds\_nl}^r) i_{qs}^{r*} $

이므로, 동일한 토크를 발생시키는데 요구되는 동기좌표계 q축 전류지령은

(12)
$ i_{qs}^{r*} = \frac{\phi_f + (L_{ds} - L_{qs}) i_{ds\_mtpa}^{r*}}{\phi_f + (L_{ds} - L_{qs}) i_{ds\_nl}^r} i_{qs\_mtpa}^{r*} $

이 된다. 그림 5에서 무부하에서 부하가 증가하면서 동기좌표계 전류지령은 A점에서 B점으로 이동하게 된다.

그림 5. 저속에서 변경되는 전류지령의 궤적

Fig. 5. Current command trajectory at low speed

../../Resources/kiee/KIEE.2025.74.12.2204/fig5.png

(b) 중부하에서의 전류지령 변경

이렇게 구한 동기좌표계 전류지령의 크기가 전류제한값 $I_{s\_max}$보다 작다면, 즉 $\sqrt{i_{ds}^{r*2} + i_{qs}^{r*2}} \le I_{s\_max}$이면, $i_{ds}^{r*} = i_{ds\_nl}^r$이고 $i_{qs}^{r*}$은 식(12)에서 계산된 값을 출력한다. 그러나 $\sqrt{i_{ds}^{r*2} + i_{qs}^{r*2}} > I_{s\_max}$인 경우, 즉 전류지령의 크기가 전류제한값보다 크다면, 중부하라고 판단하고 다음과 같이 구한다.

중부하인 경우, 요구되는 토크를 만족하고, $i_{ds}^{r*} = i_{ds\_nl}^r$인 상태에서 전류지령의 크기가 전류제한값 보다 작은 $i_{qs}^{r*}$을 구할 수 없다. 그러므로, 이 경우에는 전류제한원($\sqrt{i_{ds}^{r*2} + i_{qs}^{r*2}} = I_{s\_max}$)에서 동기좌표계 d축 전류를 $i_{ds\_nl}^r$보다 작게 감소시키면서, 요구되는 토크와 동일한 토크를 출력할 수 있는 동기좌표계 q축 전류지령을 구해야 한다. 즉,

(13)
$ \frac{3}{2} \frac{P}{2} (\phi_f + (L_{ds} - L_{qs}) i_{ds\_mtpa}^{r*}) i_{qs\_mtpa}^{r*} = \frac{3}{2} \frac{P}{2} (\phi_f + (L_{ds} - L_{qs}) i_{ds}^{r*}) i_{qs}^{r*} \\ \sqrt{i_{ds}^{r*2} + i_{qs}^{r*2}} = I_{s\_max} $

위의 두 식을 만족하는 동기좌표계 전류지령 $i_{ds}^{r*}, i_{qs}^{r*}$을 구해야 하는데 계산이 복잡하다. 그림 6에서 전류제한원과 $i_{ds}^r = i_{ds\_nl}^r$의 교점을 B점으로 표시하고 q축 성분을 $i_{qs1}^r$으로 정의한다. 즉 $i_{qs1}^r = \sqrt{I_{s\_max}^2 - i_{ds}^{r*2}}$이고, B점에 의하여 발생되는 토크 $T_{e1}$를

(14)
$ T_{e1} = \frac{3}{2} \frac{P}{2} (\phi_f + (L_{ds} - L_{qs}) i_{ds\_nl}^r) i_{qs1}^r $

로 정의한다.

토크 $T_{e1}$은 경부하와 중부하의 경계에 있는 토크이며, 전류제한조건과 $i_{ds}^r = i_{ds\_nl}^r$조건을 만족하는 최대토크이다. 또, 전류제한원 $\sqrt{i_{ds}^{r*2} + i_{qs}^{r*2}} = I_{s\_max}$에서 MTPA 제어에 의하여 계산되는 동기좌표계 전류 값을 $i_{ds\_mt}^r$, $i_{qs\_mt}^r$로 정의하고, 발생토크를 $T_{e\_mt}$로 정의한다. 그림 6에서 $i_{ds\_mt}^r$, $i_{qs\_mt}^r$는 C점을 표시하고, $T_{e\_mt}$는 C점에 의하여 발생되는 토크를 의미하고 전류제한 조건을 만족하는 최대토크이며 식(14)와 같다.

(15)
$ T_{e\_mt} = \frac{3}{2} \frac{P}{2} (\phi_f + (L_{ds} - L_{qs}) i_{ds\_mt}^r) i_{qs\_mt}^r $

그림 6. 중부하에서의 전류지령값의 결정

Fig. 6. Determination of current command under medium load

../../Resources/kiee/KIEE.2025.74.12.2204/fig6.png

중부하 조건은 요구되는 토크지령이 $T_{e1}$보다 크고, $T_{e\_mt}$보다 작은 영역이며 B점에서 C점으로 전류제한원을 따라 움직이면 토크가 $T_{e1}$에서 $T_{e\_mt}$로 증가한다. 즉, 동기좌표계 d축 전류가 $i_{ds\_nl}^r$에서 $i_{ds\_mt}^r$로 감소하면서, 전류제한원을 따라 움직이면 토크가 비선형적으로 증가한다는 의미가 된다. 실제로는 비선형적으로 토크가 증가하게 되지만, 근사적으로 동기좌표계 d축 전류가 $i_{ds\_nl}^r$에서 $i_{ds\_mt}^r$로 감소하면서 토크가 선형적으로 증가한다고 가정하면, 요구되는 토크에 맞는 전류지령값을 구할 수 있다. 동기좌표계 d축 전류가 $i_{ds\_nl}^r$일 때 토크가 $T_{e1}$이고, d축 전류가 $i_{ds\_mt}^r$일 때 토크가 $T_{e\_mt}$이므로 직선의 방정식은

(16)
$ i_{ds}^{r*} = \frac{i_{ds\_mt}^r - i_{ds\_nl}^r}{T_{e\_mt} - T_{e1}} (T_e - T_{e\_mt}) + i_{ds\_mt}^r $

이 되고, 다음 식과 같은 지령토크가 요구되면

(17)
$ T_e^* = \frac{3}{2} \frac{P}{2} (\phi_f + (L_{ds} - L_{qs}) i_{ds\_mtpa}^{r*}) i_{qs\_mtpa}^{r*} $

그림 7. 저속영역에서의 전류지령 변경 플로우 차트 알고리즘

Fig. 7. Flowchart algorithm for current command adjustment in the low speed

../../Resources/kiee/KIEE.2025.74.12.2204/fig7.png

d축 전류지령과 q축 전류지령은 다음 식과 같이 구할 수 있다.

(18)
$ i_{ds}^{r*} = \frac{i_{ds\_mt}^r - i_{ds\_nl}^r}{T_{e\_mt} - T_{e1}} (T_e^* - T_{e\_mt}) + i_{ds\_mt}^r \\ i_{qs}^{r*} = sign(i_s^*) \sqrt{I_{s\_max}^2 - i_{ds}^{r*2}} $

지금까지의 결과를 정리하면, 그림 7과 같은 플로우 차트 알고리즘으로 표현할 수 있다.

그림 5를 다시 보면, 저속에서 변경되는 전류지령의 궤적을 알 수 있다. 지령토크가 0 인 경우의 전류지령은 A점이고, 지령토크가 양의 방향으로 증가하게 되면 직선을 따라 A점에서 B점으로 증가하고, 지령토크가 양의 방향으로 더 증가하게 되면, 원둘레를 따라 B점에서 C점으로 증가한다. 지령토크가 음인 경우는 d축에 대하여 대칭이 된다.

그림 8. 전류지령 변경부를 가지는 속도제어기

Fig. 8. Speed controller with a current command modification block

../../Resources/kiee/KIEE.2025.74.12.2204/fig8.png

그림 8은 전류지령 변경부를 가지는 속도제어기이다. 속도오차로부터 $i_s^*$가 생성되고, 단위전류당 최대토크 제어에 의하여 $i_{ds\_mtpa}^{r*}$, $i_{qs\_mtpa}^{r*}$가 계산된다. 이를 통해 본 논문에서 제안하는 전류지령 변경 알고리즘에 의하여 최종 전류지령치 $i_{ds}^{r*}, i_{qs}^{r*}$가 생성된다.

(c) 속도에 따른 전류지령 변경

그림 9. $i_{ds\_nl}^r$에 따른 전류지령의 경로 변화

Fig. 9. Change in the current reference path according to $i_{ds\_nl}^r$

../../Resources/kiee/KIEE.2025.74.12.2204/fig9.png

그림 9에서 속도가 증가할수록 $i_{ds\_nl}^r$의 값은 (a)에서 (d)와 같이 감소하게된다. 그림 9(a)는 속도가 낮아서 $i_{ds\_nl}^r$이 $i_{ds\_nl\_max}^r$일 때의 부하 증가에 따른 전류의 궤적이고, 그림 9(b)는 속도가 $\omega_{rpm0}$여서 $i_{ds\_nl}^r$이 ‘0’ 일 경우의 부하 증가에 따른 전류의 궤적이고, 그림 9(c)는 속도가 더 증가하여 $i_{ds\_nl}^r$이 작은 음의 값일 경우의 전류의 궤적이며, 마지막으로 그림 9(d)는 속도가 아주 많이 증가하여 $i_{ds\_nl}^r$이 큰 음의 값일 경우의 전류의 궤적이다.

그림 9(a)와 (b)에서는 경부하의 경우 A점에서 B점으로 전류지령이 변경되며, 중부하인 경우 B점에서 C점으로 전류지령이 변경된다. 그림 9(c)의 경우, 경부하인 경우 전류지령이 MTPA곡선을 따라 이동하다가 중부하가 되면 B점으로 이동하였다가 최종적으로 원호를 따라 C점으로 이동한다. 그림 9(d)의 경우는 전류지령의 변경없이 전류지령이 MTPA 곡선을 따라 움직인다는 것을 알 수 있다.

2.4 IPM 폐루프 자속추정기[4]

그림 10는 본 논문에 사용된 IPM 전동기의 폐루프 자속추정기이다. 그림 10에서 동기좌표계 회전자 지령자속($\lambda_r^{e*}$)은 다음과 같다.

(19)
$ \lambda_r^{e*} = \begin{bmatrix} \lambda_{dr}^{e*} \\ \lambda_{qr}^{e*} \end{bmatrix} = \begin{bmatrix} \phi_f \\ 0 \end{bmatrix} $

정지좌표계 회전자 지령자속($\lambda_r^{s*}$)은

(20)
$ \lambda_r^{s*} = \begin{bmatrix} \lambda_{dr}^{s*} \\ \lambda_{qr}^{s*} \end{bmatrix} = R(\hat{\theta})^{-1} \begin{bmatrix} \lambda_{dr}^{e*} \\ \lambda_{qr}^{e*} \end{bmatrix} $

이다. 여기서 $R(\hat{\theta})$는 dq 정지좌표계에서 dq 동기좌표계로의 변환행렬이다. 정지좌표계 회전자 자속지령($\lambda_r^{s*}$)과 추정된 정지좌표계 회전자 자속($\hat{\lambda}_r^s$)을 PI제어하여 보상전압($e_s^s$)을 생성한다.

추정된 정지좌표계 고정자 자속 ($\hat{\lambda}_s^s$)는 다음과 같고

(21)
$ \hat{\lambda}_s^s = \begin{bmatrix} \hat{\lambda}_{ds}^s \\ \hat{\lambda}_{qs}^s \end{bmatrix} = \begin{bmatrix} \int (v_{ds}^s - R_s i_{ds}^s + e_{ds}^s) dt \\ \int (v_{qs}^s - R_s i_{qs}^s + e_{qs}^s) dt \end{bmatrix} $

추정된 동기좌표계 회전자 자속 ($\hat{\lambda}_r^e$)는 다음과 같다.

(22)
$ \hat{\lambda}_r^e = \begin{bmatrix} \hat{\lambda}_{dr}^e \\ \hat{\lambda}_{qr}^e \end{bmatrix} = \begin{bmatrix} \hat{\lambda}_{ds}^e - L_{ds} i_{ds}^e \\ \hat{\lambda}_{qs}^e - L_{qs} i_{qs}^e \end{bmatrix} $

이 값을 정지좌표계로 변환하여 추정 정지좌표계 회전자 자속($\hat{\lambda}_r^s$)을 구한다.

그림 10. IPM 전동기의 폐루프 자속추정기[4]

Fig. 10. Closed-Loop Flux Estimator for IPM Motor [4]

../../Resources/kiee/KIEE.2025.74.12.2204/fig10.png

3. 실 험

표 1 실험에 사용된 매입형 영구자석 동기전동기의 사양

Table 1 Specifications of IPMSM used in the experiment

구 분 제 원
정격용량 2[kW]
고정자저항 ($R_s$) 0.6[$\Omega$]
고정자 d축 인덕턴스($L_{ds}$) 5[mH]
고정자 q축 인덕턴스($L_{qs}$) 7.5[mH]
역기전력상수($\phi_f$), 영구자석 쇄교자속($\phi_f$) 0.165[V/(rad/s)], 0.165[Wb]
극수(P) 8 극
정격전류($I_{s\_rat}$)

7.7[A] (rms)

10.9[A] (peak)

정격속도 2,000[rpm]
최대속도 3,000[rpm]
모터자체관성 ($J_m$) 0.00455[kgm2]

그림 11. 실험 장치 구성도

Fig. 11. Configuration of experimental installation

../../Resources/kiee/KIEE.2025.74.12.2204/fig11.png

그림 12. 실제 실험세트

Fig. 12. Experimental System Setup

../../Resources/kiee/KIEE.2025.74.12.2204/fig12-1.png../../Resources/kiee/KIEE.2025.74.12.2204/fig12-2.png

표 1은 실험에 사용된 Mitsubishi사의 2 kW 급 IPMSM의 사양이다. 그림 11과 그림 12는 실험장치 구성도 및 실제 실험세트를 나타낸다. 실험에 사용된 부하 전동기는 Higen 사의 AC 서보모터이고, 실험에 사용된 인버터는 LS산전의 SV037iV5-2DB 이다. 인버터는 TI사의 TMS320F28335 DSP 제어보드 및 3상 IPM(Intelligent Power Module) SMPS로 구성되어 있다.

실험은 75% 부하 조건에서 매입형 영구자석 동기전동기의 센서리스 제어 속도지령을 절대값이 같은 속도로 정역으로 속도 지령을 바꾸었다. 속도지령은 5 rpm씩 낮추어가면서 센서리스가 가능한 시점까지 실시하였다. 즉 70 rpm 정역운전이 가능하면 다음 속도지령은 65 rpm 정역운전을 실시하였다.

전동기의 파라미터에 대한 영향을 확인해보기 위해 각 파라미터 별로 오차를 가정한 실험 또한 실시하였다. 모두 5 종류의 실험이 실시되었다. 첫 번째는 모든 전동기 상수가 정확한 경우(실험 1, 그림 13와 14), 두 번째는 고정자 저항에 15% 오차가 존재하는 경우(실험 2, 그림 15와 16), 세 번째는 고정자 d축 인덕턴스에 20% 오차가 존재하는 경우(실험 3, 그림 17과 18), 네 번째는 고정자 q축 인덕턴스에 20% 오차가 존재하는 경우(실험 4, 그림 19과 20), 마지막으로 영구자석 쇄교자속에 20% 오차가 존재하는 경우(실험 5, 그림 21과 22)이다. 전동기 상수는 속도센서를 장착하고 실험실에서 오랫동안 튜닝된 값을 참값으로 사용하였다.

그림 13. 기존의 MTPA 제어, 정역 속도운전(-50 ↔ 50 rpm)

Fig. 13. Conventional MTPA control, bidirectional speed operation (-50 ↔ 50 rpm)

../../Resources/kiee/KIEE.2025.74.12.2204/fig13.png

그림 14. 전류지령 변경 알고리즘이 있는 경우, 정역 속도운전(-35 ↔ 35 rpm)

Fig 14. With the current reference adjustment algorithm, bidirectional speed operation(-35 ↔ 35 rpm)

../../Resources/kiee/KIEE.2025.74.12.2204/fig14.png

그림 15. 기존의 MTPA 제어, 정역 속도운전(-75 ↔ 75 rpm)

Fig. 15. Conventional MTPA control, bidirectional speed operation (-75 ↔ 75 rpm)

../../Resources/kiee/KIEE.2025.74.12.2204/fig15.png

그림 16. 전류지령 변경 알고리즘이 있는 경우, 정역 속도운전(-65 ↔ 65 rpm)

Fig 16. With the current reference adjustment algorithm, bidirectional speed operation(-65 ↔ 65 rpm)

../../Resources/kiee/KIEE.2025.74.12.2204/fig16.png

그림 17. 기존의 MTPA 제어, 정역 속도운전(-60 ↔ 60 rpm)

Fig. 17. Conventional MTPA control, bidirectional speed operation (-60 ↔ 60 rpm)

../../Resources/kiee/KIEE.2025.74.12.2204/fig17.png

그림 18. 전류지령 변경 알고리즘이 있는 경우, 정역 속도운전(-50 ↔ 50 rpm)

Fig 18. With the current reference adjustment algorithm, bidirectional speed operation(-50 ↔ 50 rpm)

../../Resources/kiee/KIEE.2025.74.12.2204/fig18.png

그림 19. 기존의 MTPA 제어, 정역 속도운전(-60 ↔ 60 rpm)

Fig. 19. Conventional MTPA control, bidirectional speed operation (-60 ↔ 60 rpm)

../../Resources/kiee/KIEE.2025.74.12.2204/fig19.png

그림 20. 전류지령 변경 알고리즘이 있는 경우, 정역 속도운전(-50 ↔ 50 rpm)

Fig 20. With the current reference adjustment algorithm, bidirectional speed operation(-50 ↔ 50 rpm)

../../Resources/kiee/KIEE.2025.74.12.2204/fig20.png

그림 21. 기존의 MTPA 제어, 정역 속도운전(-75 ↔ 75 rpm)

Fig. 21. Conventional MTPA control, bidirectional speed operation (-75 ↔ 75 rpm)

../../Resources/kiee/KIEE.2025.74.12.2204/fig21.png

그림 22. 전류지령 변경 알고리즘이 있는 경우, 정역 속도운전(-50 ↔ 50 rpm)

Fig. 22. With the current reference adjustment algorithm, bidirectional speed operation(-50 ↔ 50 rpm)

../../Resources/kiee/KIEE.2025.74.12.2204/fig22.png

그림 13에서 그림 22까지 상단으로부터 (a) 실제속도, 속도지령, 추정속도, (b) d축 전류지령과 전류 (c) q축 전류지령과 전류와 (d) 고정자 전압의 크기와 제어각 오차를 각각 표시하였다.

그림 13과 그림 14는 전동기 파리미터의 오차가 없을 때, 75 % 부하 실험을 실시한 결과이다. 그림 13은 50 rpm 정역속도로 운전되고 있는 기존의 알고리즘의 파형이고, 그림 14는 35 rpm 정역속도로 운전되고 있는 제안된 알고리즘의 파형이다. 두 파형 모두에서 실제속도와 속도지령 그리고 추정속도는 잘 일치하고 있으며, d축 전류와 q축 전류의 경우 알고리즘의 차이로 다른 형태를 보여주고 있다. 50 rpm 정역운전을 하고 있는 기존의 알고리즘보다 제안된 알고리즘이 더 낮은 속도 (35 rpm 정역운전)에서 동작하고 있음에도 불구하고 고정자 전압의 크기와 제어각 오차가 비슷한 수준이다.

그림 15와 그림 16은 고정자 저항에만 15% 파리미터의 오차가 있을 때, 75 % 부하 실험을 실시한 결과이다. 그림 15는 75 rpm 정역속도로 운전되고 있는 기존의 알고리즘의 파형이고, 그림 16은 65 rpm 정역속도로 운전되고 있는 제안된 알고리즘의 파형이다. 두 파형 모두에서 실제속도와 속도지령 그리고 추정속도는 잘 일치하고 있으며, d축 전류와 q축 전류의 경우 알고리즘의 차이로 다른 형태를 보여주고 있다. 75 rpm 정역운전을 하고 있는 기존의 알고리즘보다 제안된 알고리즘이 더 낮은 속도 (65 rpm 정역운전)에서 동작하고 있음에도 불구하고 고정자 전압의 크기와 제어각 오차가 비슷한 수준이다.

그림 17과 그림 18은 고정자 d축 인덕턴스에만 20% 파리미터의 오차가 있을 때, 75 % 부하 실험을 실시한 결과이다. 그림 17은 60 rpm 정역속도로 운전되고 있는 기존의 알고리즘의 파형이고, 그림 18은 50 rpm 정역속도로 운전되고 있는 제안된 알고리즘의 파형이다. 두 파형 모두에서 실제속도와 속도지령 그리고 추정속도는 잘 일치하고 있으며, d축 전류와 q축 전류의 경우 알고리즘의 차이로 다른 형태를 보여주고 있다. 60 rpm 정역운전을 하고 있는 기존의 알고리즘보다 제안된 알고리즘이 더 낮은 속도 (50 rpm 정역운전)에서 동작하고 있음에도 불구하고 고정자 전압의 크기와 제어각 오차가 비슷한 수준이다.

그림 19와 그림 20은 고정자 q축 인덕턴스에만 20% 파리미터의 오차가 있을 때, 75 % 부하 실험을 실시한 결과이다. 그림 19는 60 rpm 정역속도로 운전되고 있는 기존의 알고리즘의 파형이고, 그림 20은 50 rpm 정역속도로 운전되고 있는 제안된 알고리즘의 파형이다. 두 파형 모두에서 실제속도와 속도지령 그리고 추정속도는 잘 일치하고 있으며, d축 전류와 q축 전류의 경우 알고리즘의 차이로 다른 형태를 보여주고 있다. 60 rpm 정역운전을 하고 있는 기존의 알고리즘보다 제안된 알고리즘이 더 낮은 속도 (50 rpm 정역운전)에서 동작하고 있음에도 불구하고 고정자 전압의 크기와 제어각 오차가 비슷한 수준이다.

그림 21과 그림 22는 영구자석 쇄교자속에만 20% 파리미터의 오차가 있을 때, 75 % 부하 실험을 실시한 결과이다. 그림 21은 75 rpm 정역속도로 운전되고 있는 기존의 알고리즘의 파형이고, 그림 22는 50 rpm 정역속도로 운전되고 있는 제안된 알고리즘의 파형이다. 두 파형 모두에서 실제속도와 속도지령 그리고 추정속도는 잘 일치하고 있으며, d축 전류와 q축 전류의 경우 알고리즘의 차이로 다른 형태를 보여주고 있다. 75 rpm 정역운전을 하고 있는 기존의 알고리즘보다 제안된 알고리즘이 더 낮은 속도 (50 rpm 정역운전)에서 동작하고 있음에도 불구하고 고정자 전압의 크기와 제어각 오차가 비슷한 수준이다.

실험에서는 속도제어기의 MTPA 전류지령을 그대로 사용하는 기존방식과, MTPA 전류지령에 전류지령 변경 알고리즘을 추가한 제안된 방법을 비교하였다. 실험 결과 동작가능한 최저 운전가능 속도는 다음과 같고, 제안된 방법을 적용하였을 경우 운전가능 속도가 많이 감소하였음을 알 수 있다.

표 2 동작가능한 최저 운전가능 속도

Table 2 Minimum operable speed

기존방법 제안된 방법 개선율
실험1 50 rpm 35 rpm 30 %
실험2 75 rpm 65 rpm 13 %
실험3 60 rpm 50 rpm 17 %
실험4 60 rpm 50 rpm 17 %
실험5 75 rpm 50 rpm 33 %

4. 결 론

본 논문에서는 IPMSM의 저속 센서리스 운전에서 발생하는 고정자 전압 부족 문제를 해결하기 위해 전류지령 변경 알고리즘을 제안하였다. 기존 MTPA 제어 방식에서는 저속 영역에서의 센서리스 운전이 어려우나, 제안된 방법은 전류제한 범위 내에서 d-q축 전류를 적절히 조절함으로써 저속에서의 센서리스 제어 성능을 개선하였다.

실험을 통해 제안된 알고리즘의 유효성을 검증하였으며, 파라미터 오차가 없는 경우 뿐만 아니라 파라미터 오차가 존재하는 조건에서도 100 rpm 이하 저속 영역에서 기존 대비 안정적인 센서리스 운전이 가능함을 확인하였다.

본 연구에서 제안한 제어 알고리즘은 전기자동차의 저속토크 제어뿐만 아니라, 의료용 로봇 및 정밀 공작기계 등 초저속 정밀 제어가 요구되는 다양한 응용 분야에서도 활용될 것으로 기대된다.

References

1 
K. Tatematsu, D. Hamada, K. Uchida, S. Wakao, T. Onuki, 2000, New Approaches with Sensorless Drives, IEEE Industry Applications Magazine, Vol. 6, No. 4, pp. 44-50DOI
2 
Lawrence A. Jones, Jeffrey H. Lang, 1989, A State Observer for the Permanent-Magnet Synchronous Motor, IEEE Trans. on Ind. Elec., Vol. 36, No. 3, pp. 374-382DOI
3 
Sang-hoon Kim, 2018, DC and AC Motor Control, pp. 229-239Google Search
4 
Jong-woo Choi, Seung-hoon Lee, Heung-geun Kim, 2007, Vector control of a built-in permanent magnet synchronous motor without a speed sensor, Journal of the Korean Institute of Electrical Engineers, Vol. 56, No. 7, pp. 1241-1249Google Search
5 
Raymond B. Sepe, Jeffrey H. Lang, 1992, Real-Time Observer-Based (Adaptive) Control of a Permanent-Magnet Synchronous Motor without Mechanical Sensors, IEEE Trans. on Ind. App., Vol. 28, No. 6, pp. 1345-1352DOI
6 
Nobuyuki Matsui, Takaharu Takeshita, 1994, A Novel Starting Method of Sensorless Salient-Pole Brushless Motor, Vol. 1, pp. 386-392DOI
7 
Seung-gi Seol, , Control Theory of Electrical Machinery, pp. 74-86Google Search
8 
K. Sakamoto, Y. Iwaji, T. Endo, Y. Takakura, 2001, Position and Speed Sensorless Control for PMSM Drive Using Direct Position Error Estimation, pp. 1680-1685DOI
9 
Z. Chen, M. Tomita, S. Ichikawa, S. Doki, S. Okuma, 2000, Sensorless Control of Interior Permanent Magnet Synchronous Motor by Estimation of an Extended Electromotive Force, pp. 1814-1819DOI
10 
S. Morimoto, K. Kawamoto, M. Sanada, Y. Takeda, 2002, Sensorless Control Strategy for Salient-Pole PMSM Based on Extended EMF in Rotating Reference Frame, IEEE Trans. on Ind. App., pp. 1054-1061DOI
11 
Y. C. Son, B. H. Bae, S. K. Sul, 2002, Sensorless Operation of Permanent Magnet Motor Using Direct Voltage Sensing Circuit, pp. 1674-1678DOI
12 
T. Senjyu, T. Shimabukuro, K. Uezato, 1995, Vector Control of Permanent Magnet Synchronous Motors without Position and Speed Sensors, pp. 759-765DOI
13 
F. Parasiliti, R. Peterlla, M. Tursini, 2002, Speed Sensorless Control of an Interior PM Synchronous Motor, Vol. 1, pp. 657-664DOI
14 
Jang-Hwan Kim, Jong-Woo Choi, Seung-Ki Sul, 2002, Novel Rotor-Flux Observer Using Observer Characteristic Function in Complex Vector Space for Field-Oriented Induction Motor Drives, IEEE Trans. on Ind. App., Vol. 38, No. 5, pp. 1334-1343DOI
15 
S. Ichikawa, Z. Chen, M. Tomita, S. Doki, S. Okuma, 2001, Sensorless Control of an Interior Permanent Magnet Synchronous Motor on the Rotating Coordinate Using an Extended Electromotive Force, pp. 1667-1672DOI
16 
Z. Chen, M. Tomita, S. Ichikawa, S. Doki, S. Okuma, 2003, An Extended Electromotive Force Model for Sensorless Control of Interior Permanent - Magnet Synchronous Motors, IEEE Trans. on Ind. Elect., pp. 288-295DOI
17 
Jang-Mok Kim, Seung-Ki Sul, 1995, Speed control of interior permanent magnet synchronous motor drive for flux weakening operation, pp. 218-221DOI

저자소개

최종우(Jong-Woo Choi)
../../Resources/kiee/KIEE.2025.74.12.2204/au1.png

He received the B.S., M.S., and Ph.D. degrees in electrical engineering from Seoul National University, Seoul, South Korea, in 1991, 1993, and 1996, respectively. He has been with the Department of Electrical Engineering, College of IT Engineering, Kyungpook National University, Daegu, South Korea, where he is currently a Full Professor. His current research interest includes power electronics technologies for electric machine drives, power quality, and photovoltaic system.

허태훈(Tae-Hun Huh)
../../Resources/kiee/KIEE.2025.74.12.2204/au2.png

He received B.S. and M.S. degrees in electrical engineering from Kyungpook National University, Daegu, South Korea, in 2015 and 2024, respectively. He is currently a senior manager at Korea Hydro & Nuclear Power Co.(KHNP). His research interests include electric machine drives, sensorless vector control of synchronous machines, and power plant operation & control system.