김채원
(Chae-Won Kim)
1iD
이세희
(Se-Hee Lee)
†iD
-
(School of Electronic and Electrical Engineering, Kyungpook National University, Korea.)
Copyright © The Korean Institute of Electrical Engineers
Key Words
Lithium-Ion Battery, Alternating Current Internal Resistance (AC-IR), State-of-Charge (SoC), State-of-Health (SoH), Deep Neural Network (DNN), Convolutional Neural Network (CNN), Recurrent Neural Network (RNN), Long Short-Term Memory (LSTM)
1. 서 론
리튬이온 배터리는 높은 에너지 밀도와 긴 수명, 그리고 높은 전압에서도 우수한 성능을 보이며 최근 전기차(EV)와 에너지 저장 시스템(ESS)에 널리
사용되고 있다. 전기차는 내연기관 차량의 대체 수단으로 주목받고 있으며, ESS는 재생에너지의 변동성을 보완하고 전력망의 안정성을 높이는 데 중요한
역할을 한다[1][2]. 그러나 배터리는 반복적인 충·방전 과정에서 성능이 저하되고, 과충전 시 화재나 폭발 등의 위험이 발생할 수 있다[3][4]. 따라서 배터리 상태를 지속적으로 모니터링하고 이상이 생길 경우 즉시 대응하는 것이 매우 중요하다.
배터리 성능 저하의 주요 원인 중 하나는 내부저항의 증가로, 이는 효율을 감소시키고 발열을 일으켜 안전 문제를 초래할 수 있다[5]. 내부저항은 충전 상태(SoC), 건강 상태(SoH)와 함께 배터리 상태를 평가하는 핵심 지표로, 이를 정확히 측정하고 분석하는 것이 안전성 확보에
필수적이다[6][7]. 일반적으로 배터리는 여러 셀을 모아 모듈이나 랙 형태로 구성되며, 시스템 차원에서 내부저항을 어떻게 정의할지에 대한 문제가 중요한 과제로 떠오르고
있다[8].
기존에는 내부저항을 직류 내부저항(Direct Current Internal Resistance, DC-IR)이나 교류 내부저항(Alternating
Current Internal Resistance, AC-IR) 방식으로 측정했으나, 이 방법들은 대부분 오프라인에서만 사용 가능하여 실제 운전 중인
배터리의 내부저항을 실시간으로 측정하는 데 한계가 있다[9]. 실제 환경에 적용하려면 충·방전 과정에서도 내부저항을 지속적으로 추정하고, 이를 진단 시스템과 연계할 수 있어야 한다. 그 중요성에도 불구하고,
이와 관련된 연구는 아직 부족한 상황이다[10].
따라서, 본 논문에서는 다양한 머신러닝과 딥러닝 기법을 활용하여 배터리의 실시간 내부저항을 추정하고자 하였다. 이를 위해 우선 배터리의 기본 동작
원리와 안전 진단에 필요한 주요 파라미터들을 분석하고, 이를 활용하는 내부저항 추정 알고리즘을 구상하였다. 이후 해당 알고리즘을 Panasonic
18650PF 데이터셋에 적용해 SoC를 추정하고, 이를 바탕으로 SoH를 추정하였다. 기존 연구에서 내부저항이 SoC, SoH와 관련이 있다는 점을
이용해, 최종적으로 온도, 전압, 전류, SoC, SoH를 입력으로 한 AC-IR 기반 실시간 내부저항 추정 알고리즘을 구현하였다.
2. 주요 안전 진단 파라미터의 정의
배터리는 사용이 지속되면 성능이 저하되고, 이는 곧 배터리의 노화로 이어진다. 일반적으로 배터리의 노화는 용량, SoC, SoH, 그리고 내부저항을
통해 판단할 수 있다[11][12][13]. 배터리가 저장할 수 있는 전기량을 의미하는 용량은 시간이 지나면서 감소하고, 이로 인해 배터리의 효율이 감소한다. 배터리의 현재 충전 상태를 나타내는
SoC는 실시간으로 배터리 상태를 파악하는 중요한 지표로, 이를 통해 배터리의 남은 에너지를 추정할 수 있다. SoH는 배터리의 전반적인 건강 상태를
평가하는 지표로, 배터리의 초기 성능을 기준으로 현재의 성능 저하 정도를 나타내며, 배터리의 잔여 수명과 기능적 상태를 예측하는 데 활용된다. 마지막으로,
내부저항은 배터리 내부에서 전류의 흐름에 저항하는 성질로, 배터리가 전력을 공급할 때 발생하는 에너지 손실의 주요 원인이다. 시간이 지남에 따라 배터리
내부에서 다양한 화학적 및 물리적 변화가 일어나고, 이로 인해 내부저항이 증가한다. 내부저항의 증가로 전류 흐름에 방해가 생기고, 결과적으로 배터리의
효율이 감소하며 발열과 에너지 손실이 증가한다. 이는 배터리 수명에 큰 영향을 미치므로, 내부저항은 배터리 노화 상태를 판단하는 중요한 요소로 간주된다.
2.1 State-of-Charge (SoC)
SoC는 배터리의 현재 충전 상태를 평가하는 지표로, 배터리에 남아 있는 에너지의 양을 백분율로 나타낸 값이다. 이는 배터리가 즉시 공급할 수 있는
에너지의 양을 평가하는 데 사용되며, 주로 배터리의 한 사이클 내에서 최대 용량에 대해 현재 충전된 전기 에너지의 비율을 나타낸다. SoC는 배터리의
충전 상태를 정확하게 반영하는 중요한 파라미터로, 식 (1)과 같이 나타낼 수 있다[14].
여기서
Q
p
는 사이클 내 특정 시점의 충·방전 용량[Ah]이고,
Q
F
는 현재 시점에서 완전히 충전 가능한 실제 용량[Ah]이다. 그러나 실제 운전 환경에서는 잔여 용량
Q
p
를 정확히 측정하는 것이 어렵기 때문에, 일반적으로 여러 방법을 통해 SoC를 추정한다. 그 중 가장 간단하고 직관적인 방법은 전류 적산법으로, 이는
시간에 따른 충·방전 전류를 적분하여 SoC를 추정하는 방식이다. 전류 적산법은 구조가 단순하고 계산이 간단하여 실시간 연속 추정에 적합하며, 짧은
시간 내에 높은 정확도를 보인다. 특히 센서 데이터를 기반으로 직접 SoC를 계산할 수 있기 때문에 빠른 반응성과 구현의 용이성 면에서도 큰 장점이
있다. 전류 적산법을 활용한 SoC 추정은 식 (2)와 같이 나타낼 수 있다.
이때
Q
N
은 셀이 표준 조건에서 저장하도록 설계된 최대 충전량인 공칭 용량[Ah]이며,
t
0
는 SoC 계산을 시작하는 초기 시점, 변수
τ
는
t
0
부터
t
0
+
t
까지의 적분 구간에서 사용하는 적분 변수이다. 본 연구에서도 전류 적산법을 활용하여 SoC를 예측하였다.
2.2 State-of-Health (SoH)
SoH는 배터리의 현재 건강 상태를 평가하기 위한 지표로, 초기 용량과 비교하여 현재 배터리 성능의 유지 정도를 나타낸다. 일반적으로 SoH는 배터리가
처음 사용될 때의 최대 용량과 현재의 최대 용량을 백분율로 표현해 계산하며, 이는 식 (3)과 같이 표현된다[15].
여기서
Q
F
는 특정 사이클에서의 마지막 측정 용량[Ah]으로, 같은 사이클에서 SoC와 SoH 값을 측정할 시 SoC 계산에 사용되는
Q
F
와 같은 의미를 가진다. SoH 값이 낮아지면 배터리의 성능 저하가 심해졌음을 의미하며, 이는 배터리 수명 감소를 의미한다.
SoC와 SoH는 배터리의 안전과 효율적인 운용을 위해 필수적으로 파악해야 하는 진단 파라미터이다. SoC는 배터리의 현재 충전 상태를 나타내는 지표로,
충전 및 방전 과정에 따라 실시간으로 변화하며, 배터리의 사용 가능 용량을 즉각적으로 판단하는 데 중점을 둔다. 반면, SoH는 배터리의 장기적인
성능과 수명을 평가하기 위한 지표로, 초기 용량 대비 현재 용량의 비율을 비교하여 배터리의 전반적인 건강 상태를 반영하며, 시간이 지남에 따라 배터리
노화에 의해 그 값이 서서히 변화하는 특성을 가진다. 이처럼 SoC와 SoH는 각각 배터리의 단기적 운용과 장기적 관리 측면에서 상호 보완적인 역할을
수행하며, 전기차나 ESS와 같은 응용 분야에서 배터리의 성능 유지와 안전성 확보를 위한 핵심 요소로 작용한다.
2.3 내부저항(Internal Resistance)
배터리의 내부저항은 전극, 전해질, 셀 구조, 전기적 접촉면 등에서 발생하는 다양한 저항 성분들의 총합으로 정의되며, 전류의 흐름을 방해하여 배터리의
전기화학적 성능에 직접적인 영향을 미친다. 내부저항은 충·방전 시 전압 강하 및 열 발생의 주요 원인으로 작용하며, 이에 따라 배터리의 효율성과 수명
저하를 유발할 수 있다. 실제 관련 연구에 따르면, 내부저항이 증가할수록 배터리의 출력 특성과 저장 용량이 감소하여 전반적인 성능 저하가 발생하는
것으로 보고되고 있다[5].
내부저항은 크게 DC-IR과 AC-IR로 구분되며, 이 중 DC-IR은 배터리에 짧은 시간 동안 큰 정전류를 인가한 후, 이에 따른 전압 변화를 측정하여
저항 값을 계산하는 방식이다[16]. 해당 방식은 실질적인 충·방전 조건에서 내부저항을 평가할 수 있다는 장점이 있으나, 충·방전 주기 중 간헐적으로만 측정이 가능하며, 완전한 실시간·지속적
측정에는 제약이 따른다.
한편, AC-IR은 일반적으로 1kHz의 고주파 교류 전류를 작은 진폭으로 인가하고, 전압과 전류 간의 위상 차이를 분석하여 내부저항을 산출하는 방식으로,
비침습적이며 빠른 측정이 가능하다는 특성을 가진다[16]. 이러한 이유로, 배터리의 간이 검사와 같은 상황에서는 내부저항을 측정하기 위해 AC-IR 방식을 주로 활용한다.
3. 내부저항 추정 알고리즘
리튬이온 배터리의 실시간 내부저항을 추정하기 위해, SoC와 SoH를 함께 추정하는 딥러닝 기반 프레임워크를 구상하였다. 이 프레임워크는 전압, 전류,
온도, 용량, EIS 데이터를 수집하고, 이를 활용하여 실시간 내부저항 값을 산출한다.
먼저, 배터리의
V
(
t
)
,
I
(
t
)
,
T
(
t
)
,
Q
(
t
)
데이터를 수집하여 이 데이터를 바탕으로 SoC와 SoH를 추정한다. 이때 SoC 추정을 위해 SoC를 우선 전류적산법으로 계산하여 이 계산된 SoC를
V
(
t
)
,
I
(
t
)
,
T
(
t
)
,
Q
(
t
)
와 SoC 간의 함수적 관계를 학습하는 딥러닝 모델 훈련의 기준값으로 사용하고, 이를 통해 최적화된 모델
f
*
를 이용해 실시간으로 SoC를 추정한다.
SoH는 용량과 EIS 기반 내부 임피던스 데이터 학습을 통해 추정한다. SoH는 현재 최대 충전 용량
Q
F
와 공칭 용량
Q
N
=
2.9
Ah
의 비율로 정의되는데,
Q
F
값을 구하기 위해 이전 단계에서 얻은 SoC 프로파일과 EIS 측정에서 획득한 임피던스 스펙트럼의 실수부
Z
r
e
a
l
(
t
)
를 매칭한다. 이를 통해 열화된 최대 용량
Q
F
e
s
t
i
m
a
t
e
d
를 추정한 후, 딥러닝 모델
f
*
*
를 훈련시켜 입력 변수
V
(
t
)
,
I
(
t
)
,
T
(
t
)
,
Q
(
t
)
,
Z
r
e
a
l
(
t
)
로부터 추정된 SoH 값을 산출하는 과정을 거친다.
SoC와 SoH가 추정되면 기존 수집된 데이터와 SoC, SoH를 모두 반영하여 실시간으로 내부저항을 추정한다. 이때 모델
g
는 입력, 내부 임피던스의 실수부분 간의 관계를 학습하도록 훈련된다.
이를 바탕으로 한 최종 실시간 내부저항 추정식은 다음과 같다.
그림 1. 실시간 내부저항 추정 모델의 구조
Fig. 1. Structure of Real-Time Internal Resistance Estimation Model
그림 1은 앞서 설명한 알고리즘의 전체적인 구조를 도식화한 것이다. 본 구조는 EIS를 통해 내부저항 값을 직접 측정하거나, 충·방전 과정을 중단하지 않고도
그 값을 실시간으로 추정할 수 있도록 한다. 제안된 방법은 SoC와 SoH를 모두 반영하여 계산함으로써 배터리의 전기화학적 상태를 보다 효과적으로
포착하고, 다양한 작동 조건에서도 내부저항을 실시간으로 세밀하게 추정할 수 있게 한다.
4. 분석 진행 및 결과
4.1 배터리 데이터셋
본 논문에서는 SoC와 SoH를 추정함과 동시에 용량 기반 계산을 통한 참조값과의 비교를 통해 그 정확도를 검증할 수 있도록 용량 값과 EIS 데이터가
모두 포함된 Panasonic 18650PF Dataset을 사용하였다[17]. 해당 데이터셋은 리튬 니켈 코발트 알루미늄 산화물(NCA) 배터리를 기반으로 하며, 이 중 -20°C에서 25°C까지의 다양한 온도 조건에서의
구동 사이클을 사용하여 여러 딥러닝 모델의 학습 및 검증을 위한 데이터를 생성하였다.
실험은 먼저 열 챔버를 25°C로 설정한 후, 배터리의 내부 온도가 동일한 수준에 도달할 수 있도록 약 3시간 동안 안정화시켰다. 이후 배터리를 2.9A(1C)의
정전류(Constant Current, CC)로 충전하고, 4.2V에 도달한 후에는 전류가 50mA 이하로 떨어질 때까지 정전압(Constant Voltage,
CV) 모드로 충전을 지속하였다. 충전이 완료된 후에는 열 챔버의 온도를 목표 온도로 조정하고, 배터리의 내부 온도가 안정화될 수 있도록 추가로 3시간의
대기 시간을 두었다. 이후 주어진 조건에서 드라이브 사이클을 수행하였다.
방전 과정에서 방전 종료 조건은 온도에 따라 다르게 설정되었다. 10°C와 25°C에서는 셀 전압이 2.5V에 도달하면 방전을 종료하였으며, 더 온도가
낮은 구간에서는 방전 용량을 기준으로 종료 시점을 결정하였다. 구체적으로, −20℃, −10℃, 0℃에서는 각각 1.74Ah, 2.03Ah, 2.32Ah의
전기량이 방전된 시점에서 종료하였으며, 이는 각각 약 60%, 70%, 80% 수준의 SoH에 해당한다[17][18][19].
표 1. Panasonic 18650PF 셀의 파라미터 [17]
Table 1. Parameters of Panasonic 18650PF Cell [17]
|
Parameters
|
Values
|
|
Nominal Open Circuit Voltage
|
3.6V
|
|
Capacity
|
Min. 2.75 Ah
/ Typ. 2.9 Ah
|
|
Min / Max Voltage
|
2.5V / 4.2V
|
|
Mass / Energy Storage
|
48g / 9.9Wh
|
|
Minimum Charging Temperature
|
10℃
|
|
Cycles to 80% Capacity
|
500
(100% DOD, 25℃)
|
본 추정은 전압, 전류, 온도, 용량 데이터를 입력 변수로 활용하여 SoC를 예측하는 방식으로 진행되었다. 사용된 데이터셋은 총 182,664개이며,
이 중 훈련 데이터셋은 96,537개, 테스트 데이터셋은 86,127개이다. 이때 훈련 데이터셋 내에서의 학습 중 과적합을 방지하기 위해 총 훈련
데이터셋을 8:2의 비율로 나누어 각각 훈련과 검증에 사용하였다. 훈련 수행에 앞서, 고주파로 측정된 데이터의 시간축 노이즈를 완화하기 위해 데이터를
1Hz로 다운샘플링하여 1초 간격으로 리샘플링해 추정에 활용하였다. 추가적으로, 딥러닝 모델의 안정적인 학습과 빠른 수렴을 위해 모든 예측 변수에
Min-Max Normalization을 적용하여 데이터 범위를 0과 1 사이로 정규화하였다. 이후, 노이즈를 감소시키고, 전반적인 추정의 흐름을
파악하며, 데이터의 분산을 줄여 모델의 안정성을 향상시키기 위해 이동 평균 계산 기법을 예측에 활용하였다.
4.2 분석 진행 결과
4.2.1 SoC 추정
실제 내부저항 추정 시에는 BMS에 내장된 SoC 값을 활용하여 추정을 바로 진행하면 되지만, 본 연구에서는 BMS 데이터가 부재함에 따라 SoC,
SoH 값을 자체 추정하여 내부저항 예측 및 여러 모델에 대한 평가를 수행하였다.
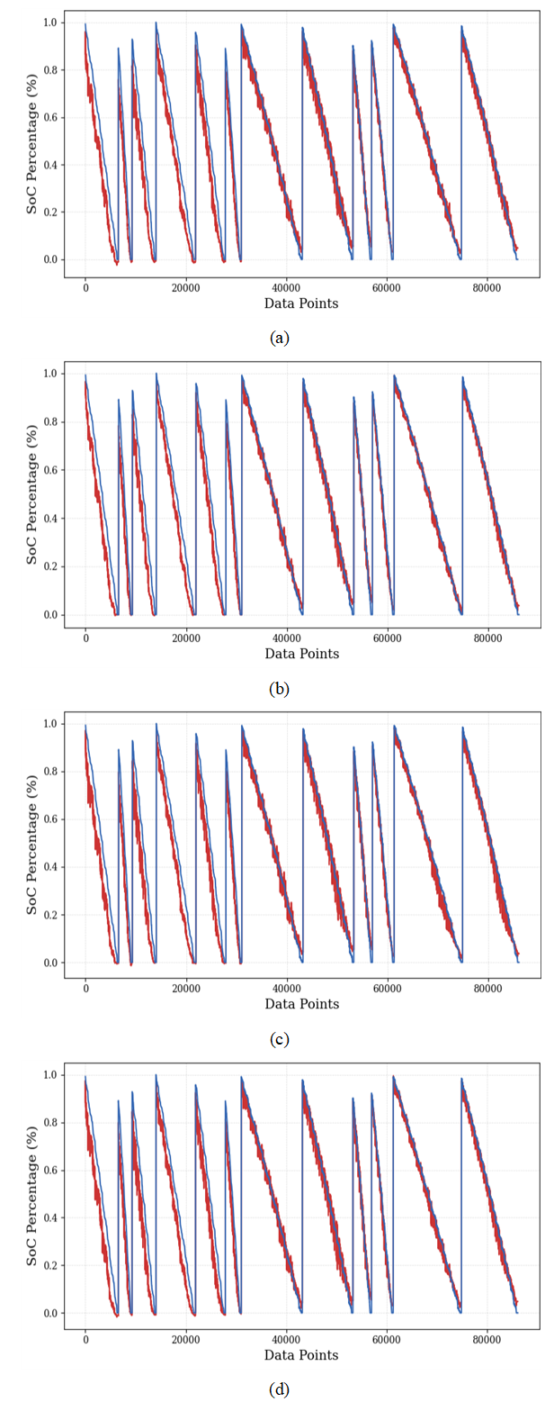
본 SoC 추정에는 DNN, CNN, RNN, LSTM 등 다양한 딥러닝 모델을 적용하였으며, 모델 성능 평가는 MAE(평균 절대 오차), MSE(평균
제곱 오차), RMSE(평균 제곱근 오차), MSLE(평균 제곱 로그 오차), 그리고 결정 계수(R²)를 활용하였다. MAE, MSE, RMSE,
MSLE와 같은 오차 기반 지표들은 값이 0에 수렴할수록, R²은 값이 1에 수렴할수록 우수한 성능을 나타내는 모델로 평가할 수 있다[20]. 모든 모델은 하이퍼파라미터 튜닝을 거쳐 최적화된 성능을 도출하였으며, 사용 모델에 따라 추정치 및 분포가 상당히 달라지는 것을 확인할 수 있었다.
표 2. 딥러닝 모델 구조 및 세부 파라미터
Table 2. Deep Learning Model Architecture and Parameter Details
|
|
DNN
|
CNN
|
RNN
|
LSTM
|
|
층 수
|
4층
|
6층
|
5층
|
|
뉴런/필터/유닛 수
|
512
|
512
|
256
|
256
|
|
활성화 함수
|
Sigmoid
|
LeakyReLU
|
ReLU
|
ReLU
|
|
손실 함수
|
Huber Loss
|
|
Learning Rate
|
0.001
|
|
Optimizer
|
nAdam
|
|
Epoch 수
|
200
|
|
Batch Size
|
32
|
|
Patience
|
20
|
그림 2. 여러 딥러닝 모델에 대한 SoC 추정 결과 (a) DNN (b) CNN (c) RNN (d) LSTM
Fig. 2. SoC Prediction Results for Various Deep Learning Models (a) DNN (b) CNN (c)
RNN (d) LSTM
표 3. SoC 추정 모델 평가 지표
Table 3. Performance Evaluation for SoC Estimation Models
|
|
MAE
|
MSE
|
RMSE
|
MSLE
|
R²
|
|
DNN
|
0.04632
|
0.00410
|
0.06400
|
0.00220
|
0.95163
|
|
CNN
|
0.04442
|
0.00389
|
0.06234
|
0.00206
|
0.95411
|
|
RNN
|
0.05019
|
0.00448
|
0.06696
|
0.00238
|
0.94706
|
|
LSTM
|
0.04735
|
0.00422
|
0.06495
|
0.00227
|
0.95019
|
CNN이 전반적인 평가 지표에서 가장 우수한 성능을 보였다. 다만, LSTM은 시계열 데이터 처리에 강점을 가지며, 일반적으로 데이터 양이 많아질수록
성능이 향상되는 경향이 있기 때문에, 실제 BMS처럼 장기간 축적된 방대한 데이터 환경에서는 LSTM의 성능이 더욱 개선될 가능성도 존재한다.
4.2.2 SoH 추정
SoC 및 EIS 임피던스 값을 활용한 모델을 통해 배터리의 SoH를 추정하였다. EIS 측정은 -20°C에서 25°C까지의 온도 조건에서 6000Hz부터
0.0001Hz까지의 주파수 범위로 수행되었다. 이때, 10mV의 일정한 전압 진폭이 인가되었으며, 그에 따른 전류 진폭의 변화 응답이 기록되는 전압
제어 모드가 측정에 활용되었다. 실측된 EIS 임피던스 값은 SoC에 따라 매핑되었으며, 이를 바탕으로 SoH를 예측하였다. 일반적으로 SoC가 감소함에
따라 임피던스가 증가하는 경향이 있으며, 이는 배터리의 열화를 반영한다. 따라서 본 연구에서는 임피던스 변화율을 기반으로 SoH를 산출하였고, 임피던스
증가에 따른 SoH 감소 관계를 모델링하여 추정을 수행하였다.
그림 3. SoH 추정 결과
Fig. 3. SoH Prediction Results
학습 데이터를 기반으로 수행한 추정 결과는 그림 4에 나타내었다. 다만, 앞서 수행한 SoC 추정에 비해 활용 가능한 데이터 수가 현저히 적고, 임피던스 매핑 방법을 통해 추정을 진행하였기에, 보다
정밀한 추정을 위해서는 추가적인 실험을 통한 충분한 데이터 확보가 필요할 것으로 판단된다.
4.2.3 배터리 내부저항 추정
앞서 산출한 SoC 및 SoH 값과 기존 데이터를 바탕으로 실시간 내부저항을 추정하였다. 내부 저항 추정은 EIS 데이터를 추가로 활용한다는 점을
제외하고는, SoC 추정에 사용된 동일한 입력 변수, 학습 파라미터 및 하이퍼파라미터 튜닝 설정을 기반으로 수행되었다. 그러나 확보된 EIS 데이터의
양이 제한적이어서 RNN 및 LSTM 모델의 효과적인 학습이 어려웠고, 이로 인해 추정 정확도가 상대적으로 낮게 나타났다. 이에 실제 현장에서 내부저항
추정 모델을 적용할 경우 BMS로부터 SoC 및 SoH 값이 이미 제공된다는 점을 고려하여, SoC 추정 실험에서 가장 우수한 성능을 보인 CNN
기반 모델과 일부 머신러닝 기법을 활용하여 추가적인 내부저항 예측을 수행하였다.
그림 4. 딥러닝 모델을 활용한 실시간 내부 저항 추정 결과 (a) DNN (b) CNN
Fig. 4. Real-Time Internal Resistance Prediction Results for Deep Learning Models
(a) DNN (b) CNN
그림 5. 머신러닝 모델을 활용한 실시간 내부저항 추정 결과 (a) Random Forest (b) XGBoost (c) LightGBM (d) GPR
Fig. 5. Real-Time Internal Resistance Prediction Results for Machine Learning Models
(a) Random Forest (b) XGBoost (c) LightGBM (d) GPR
표 4. 실시간 내부저항 추정 모델 평가 지표
Table 4. Performance Evaluation for Real-Time Internal Resistance Estimation Models
|
|
MAE
|
MSE
|
RMSE
|
MSLE
|
R²
|
|
DNN
|
0.47260
|
0.30325
|
0.55068
|
0.00036
|
0.98718
|
|
CNN
|
0.35553
|
0.29457
|
0.54274
|
0.00047
|
0.98596
|
|
Random Forest
|
0.16195
|
0.03675
|
0.19172
|
0.00005
|
0.99845
|
|
XGBoost
|
0.22679
|
0.12384
|
0.35190
|
0.00011
|
0.99476
|
|
LightGBM
|
0.47450
|
0.82875
|
0.91036
|
0.00837
|
0.96497
|
|
GPR
|
0.22909
|
0.11838
|
0.34406
|
0.00011
|
0.99500
|
앞선 SoC 추정과 마찬가지로, 각 오차 지표에서 우수한 성능을 보인 모델이 다른 지표들에서도 일관되게 뛰어난 성능을 나타내는 경향을 확인할 수 있었다.
본 추정에서는 Random Forest 모델이 가장 우수한 성능을 기록하였으나, 데이터가 적거나 고차원일 때 강점을 가지는 GPR 모델의 성능도 상대적으로
높게 나타났다. 따라서 보다 다양하고 많은 데이터를 확보할 경우 결과가 달라질 가능성이 있으며, 그렇기에 상황에 따라 보유한 데이터양과 특성에 맞는
최적의 모델을 선택하는 것이 중요하다고 판단된다.
5. 결 론
본 연구에서는 배터리의 안전 진단을 위해 SoC와 SoH를 활용한 실시간 내부저항 추정 방법을 제안하였다. 기존의 AC-IR 및 DC-IR 기반 내부저항
측정법이 오프라인 방식에 한정되어 실시간 진단에 제약이 있는 반면, 본 추정 방법은 실시간으로 배터리 상태를 평가할 수 있는 추가적인 지표를 제공한다는
점에서 의의가 있다. 이를 통해 배터리 상태 진단의 정확도를 높이고, 비용 효율적이면서도 안전한 운영 환경 조성에 기여할 수 있을 것으로 기대된다.
또한, 본 방법은 BMS가 장착된 다양한 배터리 시스템에 쉽게 적용 가능하며, 향후 충분한 데이터 확보 및 추가 연구를 통해 전기차 및 ESS 등
다양한 응용 분야에서 배터리의 안전성과 성능 관리를 효과적으로 관리할 수 있을 것으로 판단된다.
Acknowledgements
This work was supported by the Korea Institute of Energy Technology Evaluation and
Planning(KETEP) and the Ministry of Trade, Industry & Energy(MOTIE) of the Republic
of Korea (No. 20220610100010)
References
Y. Ding, Z. P. Cano, A. Yu, J. Lu, Z. Chen, 2019, Automotive Li-Ion Batteries: Current
Status and Future Perspectives, Electrochemical Energy Reviews, Vol. 2, No. 1, pp.
1-28

H. J. Jang, T. S. Song, J. Y. Kim, S. J. Kim, T. H. Jang, 2019, Study on Analysis
of Fire Factor and Development Direction of Standard/safety Requirement to Keep Safety
for Energy Storage System (ESS), Journal of Standards, Certification and Safety, Vol.
3, No. 9, pp. 25-49

Yuhong Chen, 2022, Recent advances of overcharge investigation of lithium-ion batteries,
Ionics, Vol. 28, No. 2, pp. 495-514

S. Yin, J. Liu, B. Cong, 2023, Review of Thermal Runaway Monitoring, Warning and Protection
Technologies for Lithium-Ion Batteries, Processes, Vol. 11, No. 8, pp. 2345

T. Rahman, A. Talal, 2024, Exploring Lithium-Ion Battery Degradation: A Concise Review
of Critical Factors, Impacts, Data-Driven Degradation Estimation Techniques, and Sustainable
Directions for Energy Storage Systems, Batteries, Vol. 10, No. 7, pp. 220

E. Kim, 2023, Data-Driven Methods for Predicting the State of Health, State of Charge,
and Remaining Useful Life of Li-Ion Batteries: A Comprehensive Review, International
Journal of Precision Engineering and Manufacturing, Vol. 24, No. 7, pp. 1281-1304

S. Park, G. Song, S. Park, 2020, A Study on the Parameters Estimation for SOC and
SOH of the Battery, Journal of the Korean Society of Industry Convergence, Vol. 23,
No. 5, pp. 853-863

HG. Schweiger, 2010, Comparison of Several Methods for Determining the Internal Resistance
of Lithium Ion Cells, Sensors, Vol. 10, No. 6, pp. 5604-5625

Y. Koc, U. E. Doğru, R. A. Bilir, 2022, Evaluation of Internal Resistance Methods
for Tracking Battery State of Health, pp. 112-116

G-G Park, B-C Park, 2020, Real-time Battery Internal Resistance Measurement Method,
pp. 218-219

J. Vetter, M. Wohlfahrt-Mehrens, C. Vogler, A. Hammouche, 2005, Ageing mechanisms
in lithium-ion batteries, Journal of Power Sources, Vol. 147, No. 1-2, pp. 269-281

S. Lee, M. Park, 2014, Battery State of Charge Estimation Considering the Battery
Aging, Journal of IKEEE, Vol. 18, No. 3, pp. 298-304

P. Keil, 2016, Calendar Aging of Lithium-Ion Batteries, Journal of The Electrochemical
Society, Vol. 163, No. 9, pp. 1872-1880

X. Zhang, J. Hou, Z. Wang, Y. Jiang, 2022, Study of SOC Estimation by the Ampere-Hour
Integral Method with Capacity Correction Based on LSTM, Batteries, Vol. 8, No. 10

Y. Guo, D. Yang, Y. Zhang, L. Wang, K. Wang, 2022, Online Estimation of SOH For Lithium-Ion
Battery Based on SSA-Elman Neural Network, Protection and Control of Modern Power
Systems, Vol. 7, No. 3, pp. 1-17

J. Jung, M. Lim, N. Kim, H. Kim, D. Rho, 2023, A Study on Assessment of Internal Resistance
for Repurposing using Middle & Large sized Batteries, The Transactions of the Korean
Institute of Electrical Engineers, Vol. 72, No. 6, pp. 717-723

P. J. Kollmeyer, 2018, Panasonic 18650PF Li-ion Battery Data

P. J. Kollmeyer, 2015, Development and Implementation of a Battery-Electric Light-Duty
Class 2a Truck including Hybrid Energy Storage

E. Chemali, P. J. Kollmeyer, M. Preindl, R. Ahmed, A. Emadi, 2018, Long Short-Term
Memory Networks for Accurate State-of-Charge Estimation of Li-Ion Batteries, IEEE
Transactions on Industrial Electronics, Vol. 65, No. 8, pp. 6730-6739

D. Chicco, M. J. Warrens, G. Jurman, 2021, The coefficient of determination R-squared
is more informative than SMAPE, MAE, MAPE, MSE and RMSE in regression analysis evaluation,
PeerJ Computer Science, Vol. 7

저자소개
Chae Won Kim received the M.S. degree from the School of Electronic and Electrical
Engineering, Kyungpook National University (KNU), Daegu, South Korea, in 2025. She
is currently interested in battery systems and the application of Battery Multiphysics
modeling for advanced design and optimization. Her research activities in this domain
include the identification of anomalies in batteries and Energy Storage Systems (ESS),
using advanced data analysis. She develops diagnostic parameters to proactively manage
risks and ensure safety in critical situations. Beyond battery systems, she is also
focusing on the characteristics of DC Partial Discharge (PD) and leakage current phenomena
in Medium Voltage Direct Current (MVDC) power facilities to improve insulation design
and operational reliability.
Se-Hee Lee, Ph. D., is a Professor of Electrical Engineering and Computer Science
at Kyungpook National University (KNU) in Daegu, Korea. Prof. Lee received the B.S.
and M.S. degrees in electrical engineering from Soongsil University in 1996 and 1998,
respectively. He received the Ph.D. degree in Electrical and Computer Engineering
from Sungkyunkwan University in 2002. Following this, he performed postdoctoral training
in the Laboratory for Electromagnetic and Electronic Systems (LEES) at the Massachusetts
Institute of Technology (MIT) in US from 2003 to 2006. He worked for Korea Electrotechnology
Research Institute (KERI) from 2006 to 2008 before joining the faculty of KNU in 2008.